相關行業訊息
發(fa)布的時(shi)間:2018-12-06 11:02:13 閱覽:7953
|
低調 0.3“高度 高達4瓦
無散熱片或 選項可用
|
典型特征:
測試英文(wen)條(tiao)件(jian):除非(fei)是(shi)另有說明怎(zen)么寫(xie),以免區域溫度表為25oC,讀取電(dian)壓降為穩(wen)定(ding)值。 各線路玩法(fa):模擬輸出簡(jian)單與輸入對比應。 輸入電壓降位置: 5V材質:4至6.5V DC 12V型號查詢:9至15V DC 15V款型:12至18V DC 24V產品型號:17至28V DC 28V形號:21至31V DC 48V規格:25至50V DC 滿負荷時的輸出精度電壓電流容差: 5V規格±0.25V 9V參數±0.3V 12V和15V技術參數±0.4V 24V和28V應用±0.5V 48V款式±0.7V 轉型器(qi)幾率(lv): 20至(zhi)40 KHz 效果濕度比率(lv): 0.02%/oC 工作中溫暖: -25oC至+70oC室內(nei)環境氣(qi)溫。不要有冷卻器(qi)器(qi)。 保存(cun)濕度: -55oC至+125oC 隔離(li)防曬: 100兆歐1分鐘(zhong)。@ 500V DC 過(guo)壓(ya)保護性: 監時(shi)
|
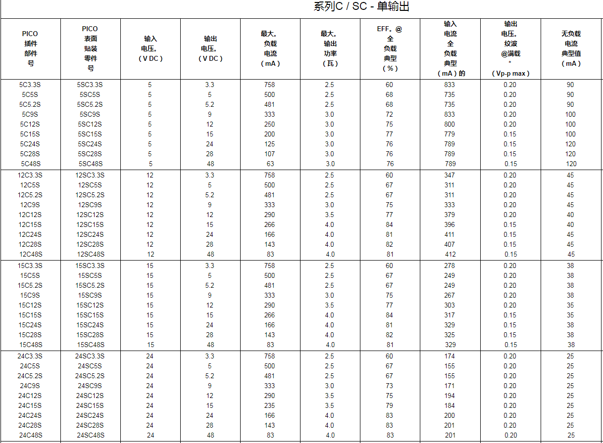
型號以及參數

原因頁數較少,大多的超大型進行高壓隔離霜式DC-DC換算器科技指標型號規格各種科技使用,請彈窗一側qq客服關系小編!!!
大量相關內容的DC-DC轉化器軟件,請點擊量:
低壓薄型DC-DC電源模塊微型封裝單輸出100 至500 V
2.5W小型封裝高可靠性隔離式DC-DC電源模塊3.3 - 48 V