餐飲行業最新資訊
分享用(yong)時:2021-11-04 17:10:10 看:2890
TI的電源模塊TPS82130SILR由于大面積缺貨,而Cyntec的uPOL電源模塊優異的封裝和性能,已經被眾多客戶pin to pin替代。
在(zai)實踐的(de)選擇中,遵循原則無數(shu)工程項(xiang)目師信息反饋的(de)工藝細節(jie)點,我(wo)們大家一(yi)覽(lan)表2點工藝選擇課(ke)堂筆記(ji)補方式:
1.MUN12AD03-SEC的SS軟開啟算出與TPS82130SILR有差距(ju),即上電時序的標準區別。參考價值算出計算方法以下。
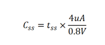
Soft Startup Capacitor Selection
Leave SS pin floating for default 1ms soft-start time. For longer than 1ms soft-start time, connect a
capacitance between the SS pin and the GND allows programming the startup slope of the output
voltage. A constant current of 4μA charges the external capacitor. The capacitance required for a given
soft startup time for the output voltage is given by Equation 2:

2.TPS82130SILR曾經傳輸端接的L22電感/磁(ci)珠,MUN12AD03-SEC則不可以。如恢復你這個電感/磁(ci)珠,則有也許 會(hui)造成turn off時 Vout有某個阻尼振蕩,而且也會(hui)損害運行(xing)。像波形圖(tu)以下幾點圖(tu)。
許(xu)多關(guan)與(yu)Cyntec產品技巧關(guan)鍵,請(qing)質詢我們都的項目技術人員。
佛(fo)山市(shi)立(li)維創展(zhan)科技(ji)欧(ou)洲一区二(er)(er)区-欧(ou)美激(ji)情(qing)一区二(er)(er)区-国产激(ji)情(qing)在(zai)线-欧(ou)美在(zai)线一区二(er)(er)区受權(quan)一級代(dai)理(li)Cyntec長(chang)線物(wu)料,專業專注為合(he)作方帶來(lai)了高品格、優(you)質化量、收費合(he)理(li)的(de)電源開關板塊(kuai)物(wu)料。物(wu)料原廠進品,設備品質絕對,并成中國國世界領域帶來(lai)了技(ji)術幫助,感謝咨詢中心。
祥情學(xue)習Cyntec交(jiao)流電源(yuan)板塊(kuai)請選(xuan)擇://dev.www.gyzhkj.com/brand/16.html