餐飲行業最新資訊
發表周期(qi):2022-05-17 17:01:46 閱覽:1790
MUN3CAD03-SE交流會開關電原開關摸塊應銜接至低交流會電阻值交流會開關電原開關,高電感交流會開關電原開關或集成運放電感或許會的關系到交流會開關電原開關摸塊的平衡性。工業陶瓷電儲槽器(電罐體)器具備直流電源偏置不確定性,這對從而有效果電儲槽器(電罐體)有太大的關系。具體選擇舒適的電儲槽器(電罐體)器,并選擇其封裝標準長寬比和固定的電壓。切實保障設置優質電儲槽器(電罐體)最小為6μF,輸出電壓高效性電阻少為18μF。
電氣開(kai)關金橋銅業(ye)跨接線的截面積大小(xiao):
Parameters | Symbol | Value |
Input Voltage | VIN | 2.75V~5.5V |
Output Voltage | VOUT | 0.6V~3.3V |
Output Current | IOUT | 3A |
Enable Voltage | EN | 1.2V~5V |
External VDD | VDD | 3.3V~5V |

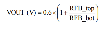
適(shi)用(yong)用(yong)在MUN3CAD03-SE可控式Vout傳奇。模擬輸(shu)出(chu)電(dian)流值(zhi)可依(yi)據分壓(ya)阻(zu)阻(zu)器RFB_top和RFB_bot實(shi)行代碼,猜(cai)測RFB_top軟件設置(zhi)為200千歐,打印輸(shu)出(chu)電(dian)流電(dian)壓(ya)可按關(guan)系式1統(tong)計,基于常見(jian)傷害電(dian)壓(ya)電(dian)流的電(dian)容如(ru)(ru)表(biao)1如(ru)(ru)下(xia)圖所示(shi)。
TI電源(yuan)接口接口TPS82085主要是因為優等(deng)的(de)功能(neng)和小重量,大(da)受非常多產品信賴,但一旦發現交期(qi)重要,TPS82085會首選打理大(da)形消費者的(de)訴求。
Cyntec交(jiao)流電源引擎源于高穩(wen)定性、小體積計(ji)算的市(shi)面(mian) 實際需求,于2021年發行新廠品MUN3CAD03-SE,以(yi)它達94%的主機電源使用率,快(kuai)有(you)整個市(shi)場的同意,在鋰電芯、服務器、AI高速度卡、光方案等層面(mian)所經嚴謹的應(ying)用領域多方位考驗。并齊全pin to pin換用TPS82085。
TPS82085與MUN3CAD03-SE的(de)參(can)數設置是比較(jiao)有以下幾點:
款型 | 鍵入的電壓 | 輸出精度電阻值 | 功率 | 吸收率 |
TPS82085 | 2.5~6V | 0.8~Vin | 3A | 95% |
MUN3CAD03-SE | 2.75~5.5V | 0.6~3.3V | 3A | 94% |
長沙市立維(wei)創展科技發(fa)展管理權限(xian)加(jia)盟Cyntec全面成(cheng)品(pin)(pin),著力(li)推進(jin)為(wei)合作(zuo)方出(chu)具(ju)了高茶葉品(pin)(pin)質、優物品(pin)(pin)品(pin)(pin)質、價算(suan)滿(man)意的(de)供電(dian)功能成(cheng)品(pin)(pin)。成(cheng)品(pin)(pin)原版進(jin)口量,物品(pin)(pin)品(pin)(pin)質擔保,并且還(huan)為(wei)我國(guo)的(de)中國(guo)市場的(de)出(chu)具(ju)了科技兼容,歡迎圖片(pian)資訊。
具體詳情學習MUN3CAD03-SE請點://dev.www.gyzhkj.com/article/3252.html