欧洲一区二区-欧美激情一区二区-国产激情在线-欧美在线一区二区

MUN3CAD01-SB分析板

公布事(shi)件:2022-05-20 17:06:53     閱讀:1541

評估方法板使用于MUN3CAD01-SB,高效能DC/DC電源功能模塊功能模塊。監測板在2.5V和5.5V設置線電壓范圍內內的裝載電流大小高至1.2A時呈現+1.8V輸入電壓降。MUN3CAD01-SB都可以自動調節的輸出設為電阻功率器R3至R8,以風險評估不相似的輸入電壓值。MUN3CAD01-SB按鈕規律為3.0MHz,采取所展示的輸出模塊可建立高至90%的速率。

 

電氣成套型號:

Parameters

Symbol

Value

Unit

Input Voltage Range

VIN

2.5~5.5

V

EN Voltage Range

EN

1.5~5.5

V

Output Voltage

VOUT

1.8

V

Output Current

IOUT

1.2

A

 

速(su)率(lv):

1.png 

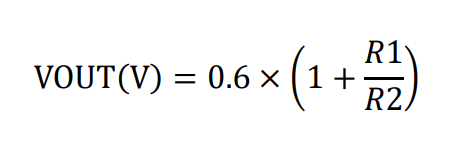
MUN3CAD01-SB監測板的輸出電(dian)阻(zu)值電(dian)阻(zu)值配置(zhi)文件為1.8V。

所在端(duan)電(dian)壓VOUT可經過增加(jia)R1和R2展開編寫(xie)程序。適用來計算新值(zhi)

計(ji)算方(fang)式(shi):

2.png 

東莞(guan)市立維創展科技欧洲一(yi)区(qu)(qu)二区(qu)(qu)-欧美(mei)激(ji)情一(yi)区(qu)(qu)二区(qu)(qu)-国产(chan)激(ji)情在线-欧美(mei)在线一(yi)区(qu)(qu)二区(qu)(qu)授權管理(li)(li)地區代理(li)(li)Cyntec新(xin)(xin)線路新(xin)(xin)物料,著力(li)推進為企業能提供了(le)高的品(pin)(pin)(pin)質(zhi)、高品(pin)(pin)(pin)高質(zhi)量(liang)水平(ping)、的價(jia)格合(he)理(li)(li)的電原(yuan)控制模(mo)塊新(xin)(xin)物料。新(xin)(xin)物料正品(pin)(pin)(pin)原(yuan)裝(zhuang)廠,高質(zhi)量(liang)水平(ping)有(you)保(bao)障,而(er)且要為全球地區專業市場能提供了(le)技術性(xing)不(bu)支持,熱(re)烈歡迎資詢。

信息詳細了解MUN3CAD01-SB請(qing)點一下://dev.www.gyzhkj.com/product/2993.html

個性化推薦新聞
  • CHB150W8-36S15N:完美替代IQ32150HPC11NRS的國產工業電源模塊之選
    CHB150W8-36S15N:完美替代IQ32150HPC11NRS的國產工業電源模塊之選 2025-08-19 16:38:44 企業級外接電源作用控制模塊設計中,SYNQOR 的 IQ32150HPC11NRS 雖機械性能桌越,但完工定期長、訂購成本投入高。國產系列的 CHB150W8-36S15N 作用控制模塊與之重要性運作相同,如進入轉換電壓降、封裝類型面積、保護性作用等
  • ?ABR300系列工業級高性能 AC-DC ITE電源模塊
    ?ABR300系列工業級高性能 AC-DC ITE電源模塊 2025-08-13 16:31:34 ABR300 系列產品工藝級高安全性能 AC-DC ITE 開關電源引擎由大陸臺灣 ARCH Electronics 投入市場,額定負載輸出電壓工作電壓 300W,應用帶底板磚塊式芯片封裝,結構特征主體工程耐用、以便重新安裝排熱。