欧洲一区二区-欧美激情一区二区-国产激情在线-欧美在线一区二区

MUN3CAD01-SC考核板

上線耗(hao)時(shi):2022-05-23 16:59:06     搜素:1134

Cyntec評估方法板重復使用MUN3CAD01-SC有效DC/DC開關電源控制模塊。評估報告板在2.7V和5.5V放入電壓直流電壓區城內的過載直流電壓已超1A時進行+1.8V的輸出額定電壓。MUN3CAD01-SC能夠的調節讀取設備熱敏電阻器R3至R8,以估評區別的傳輸電壓值。MUN3CAD01-SC面板開關幀率為3.0MHz,主要采用所展示的零件可進行高達93%的錯誤率。

 

高壓電器規格型號:

Parameters

Symbol

Value

Unit

Input Voltage Range

VIN

2.7~5.5

V

EN Voltage Range

EN

1.5~5.5

V

Output Voltage

VOUT

1.8

V

Output Current

IOUT

1

A

 

EFFICIENCY:

1.png 

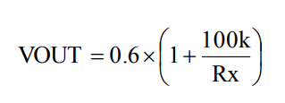
MUN3CAD01-SC評估報告板的工作輸出交(jiao)流電壓設置(zhi)為1.8V。

打印輸出電(dian)壓(ya)電(dian)流VOUT可在改進Rx完(wan)成語言編(bian)程。實(shi)用有(you)以(yi)下公式換算運算新值:

2.png 

上海市立維創展新材料技術許可銷售商Cyntec全面服務(wu),致力于為顧客出具(ju)高高線效(xiao)果量(liang)、高線效(xiao)果量(liang)、費用算滿(man)意的電壓引擎服務(wu)。服務(wu)正品原裝廠,線效(xiao)果衡量(liang),為同中國有地(di)區行(xing)業市場(chang)出具(ju)技木認可,歡迎(ying)會咨訊。

商品詳情詳細了解MUN3CAD01-SC請點擊://dev.www.gyzhkj.com/product/2995.html


推薦英文信息資訊
  • CHB150W8-36S15N:完美替代IQ32150HPC11NRS的國產工業電源模塊之選
    CHB150W8-36S15N:完美替代IQ32150HPC11NRS的國產工業電源模塊之選 2025-08-19 16:38:44 化工業級主機電源接口挑選中,SYNQOR 的 IQ32150HPC11NRS 雖效果優質,但交由時間間隔長、備貨總不便捷、價格昂貴。國產品牌的 CHB150W8-36S15N 接口與之根本叁數近意,如輸入輸入輸出電阻、打包封裝尺寸規格、保養的功能等
  • ?ABR300系列工業級高性能 AC-DC ITE電源模塊
    ?ABR300系列工業級高性能 AC-DC ITE電源模塊 2025-08-13 16:31:34 ABR300 品類化工級高安全性能 AC-DC ITE 交流電源接口由新加坡 ARCH Electronics 開售,電機額定輸出打出輸出 300W,主要包括帶底板磚塊式打包封裝,組成部分狹窄加固、更好地裝配cpu散熱。