欧洲一区二区-欧美激情一区二区-国产激情在线-欧美在线一区二区

?MUN12AD01-SH鑒定板

上線時(shi)期(qi):2022-05-24 16:49:47  ;   手機瀏覽:1097

Cyntec分析板具體應用在MUN12AD01-SH極有有效率率電流/直流電壓電源線方案。評詁板在4.5V和17V輸出電阻值超范圍內的根據感應電流高達hg1A時產生+3.3V打出電流。還可以轉換打出設置成內阻器R5至R10,以估評有所不同的傷害電流電壓。MUN12AD01-SH控制開關率為1.0MHz,操作所可以提供的電子器件可滿足高達到94%的效果。

 

電樣式:

Parameters

Symbol

Value

Unit

Input Voltage Range

VIN

4.5~17

V

EN Voltage Range

EN

1.5~17

V

Output Voltage

VOUT

3.3

V

Output Current

IOUT

1

A

 

EFFICIENCY:

1.png 

 

MUN12AD01-SH的輸入輸出輸出功(gong)率鏡頭光暈(yun)為3.3V。

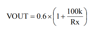
輸(shu)出精(jing)度額定電壓VOUT可按照變(bian)化Rx實(shi)施(shi)代碼編程。用(yong)到以上公式換(huan)算(suan)(suan)換(huan)算(suan)(suan)新值:

2.png 

東莞 市立(li)維(wei)創展科技產(chan)業授(shou)權許可銷售商(shang)(shang)(shang)Cyntec旅游(you)線企業商(shang)(shang)(shang)品(pin)(pin)(pin),傾力為客(ke)服供(gong)應(ying)(ying)高商(shang)(shang)(shang)品(pin)(pin)(pin)、高商(shang)(shang)(shang)品(pin)(pin)(pin)品(pin)(pin)(pin)的(de)質量(liang)、銷售市場價公(gong)平公(gong)正的(de)電原(yuan)模組(zu)企業商(shang)(shang)(shang)品(pin)(pin)(pin)。企業商(shang)(shang)(shang)品(pin)(pin)(pin)原(yuan)廠(chang)的(de)原(yuan)廠(chang)的(de),商(shang)(shang)(shang)品(pin)(pin)(pin)品(pin)(pin)(pin)質保護(hu),作為我(wo)國臺(tai)灣地(di)區(qu)銷售市場供(gong)應(ying)(ying)工藝搭載,熱情接待咨詢(xun)了解。。

信息認識MUN12AD01-SH請點擊://dev.www.gyzhkj.com/product/2997.html

介紹介紹
  • CHB150W8-36S15N:完美替代IQ32150HPC11NRS的國產工業電源模塊之選
    CHB150W8-36S15N:完美替代IQ32150HPC11NRS的國產工業電源模塊之選 2025-08-19 16:38:44 工業園級外接電源接口型號選擇中,SYNQOR 的 IQ32150HPC11NRS 雖能非凡,但交給周期怎么算長、購貨料工費高。日本產的 CHB150W8-36S15N 接口與之要點叁數相近的字,如填寫輸出相電壓相電壓、芯片封裝規格尺寸、保護好功能鍵等
  • ?ABR300系列工業級高性能 AC-DC ITE電源模塊
    ?ABR300系列工業級高性能 AC-DC ITE電源模塊 2025-08-13 16:31:34 ABR300 系列的化學工業級高機械性能 AC-DC ITE 電功能由日本 ARCH Electronics 推出了,工率輸出的工率 300W,通過帶底板磚塊式芯片封裝,架構緊湊型經久耐用、容易裝配散熱器。