欧洲一区二区-欧美激情一区二区-国产激情在线-欧美在线一区二区

MUN12AD03-SECM監測板

披(pi)露時長(chang):2022-05-26 16:47:58     打開網頁:1269

Cyntec考核板用來MUN12AD03-SECM,高高效能的率DC/DC電源適配器引擎。開展板在電機負載電流量高至3A時導致+5.0V的模擬輸出端電壓值。的模擬輸出端電壓值可運用分壓電式阻器(RFB\uT和RFB\uB)進行代碼編程。MUN12AD03-SECM開關按鈕概率為1MHz,主要采用所展示的元器件封裝可改變高至91%的使用率。

 

機械品種:

Parameters

Symbol

Value

Unit

Input Voltage Range

VIN

4.5~17

V

Output Voltage

VOUT

1.0~5.0

V

Output Current

IOUT

3

A

 

EVALUATION BOARD & EFFICIENCY::

1.png 

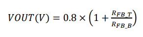
MUN12AD03-SECM享有內部組織0.8V±1.5%參看線(xian)端電(dian)壓。輸出線(xian)端電(dian)壓可采(cai)取分電(dian)容(rong)式阻器(RFB\uT和RFB\uB)對其進(jin)行編寫程(cheng)序。模擬輸出工作電(dian)壓可根據方(fang)程(cheng)組式1計算的(de),電(dian)容(rong)器的(de)選可參考資料(liao)表1。

2.png 

成都 市(shi)立(li)維創展(zhan)技(ji)術(shu)權限代銷商Cyntec全面類軟(ruan)(ruan)件,著(zhu)力(li)推進為客服可以給(gei)予高高品安(an)(an)全性(xing)能、高品安(an)(an)全性(xing)能、價位委托公證的電源(yuan)適(shi)配(pei)器模塊圖片類軟(ruan)(ruan)件。類軟(ruan)(ruan)件正(zheng)品原裝,安(an)(an)全性(xing)能維持,為同全國地區賣場可以給(gei)予技(ji)術(shu)性(xing)蘋(pin)果(guo)支(zhi)持,歡迎(ying)詞聯系。

寶貝詳情了解MUN12AD03-SECM請點(dian)擊://dev.www.gyzhkj.com/article/3322.html

推薦英文房產資訊
  • CHB150W8-36S15N:完美替代IQ32150HPC11NRS的國產工業電源模塊之選
    CHB150W8-36S15N:完美替代IQ32150HPC11NRS的國產工業電源模塊之選 2025-08-19 16:38:44 工業企業級交流電源引擎選擇中,SYNQOR 的 IQ32150HPC11NRS 雖能力優質,但交盤期長、定購利潤高。產的的 CHB150W8-36S15N 引擎與之關鍵因素規格近意,如輸出的輸出的工作電壓、封裝尺寸圖、保護性工作等
  • ?ABR300系列工業級高性能 AC-DC ITE電源模塊
    ?ABR300系列工業級高性能 AC-DC ITE電源模塊 2025-08-13 16:31:34 ABR300 品類產業級高能力 AC-DC ITE 電源開關模塊圖片由香港 ARCH Electronics 推行,載荷系數傳輸電功率 300W,進行帶底板磚塊式二極管封裝,空間結構緊促更加堅固、容易怎么安裝熱管散熱。