欧洲一区二区-欧美激情一区二区-国产激情在线-欧美在线一区二区

MUN12AD03-SH評估方法板

推送時段:2022-05-27 16:49:10     瀏覽器:1212

評定板可以用在MUN12AD03-SH更高學習效率DC/DC電信息模塊。評定板在負債工作電流量高至3A時形成了+5.0V打印輸入輸出交流直流電壓。打印輸入輸出交流直流電壓可靈活運用分壓電式阻器(RFB\uT和RFB\uB)實現程序語言。MUN12AD03-SH啟閉率為1MHz,選用帶來了的包塊可控制高至91%的錯誤率。

 

電力規格為:

Parameters

Symbol

Value

Unit

Input Voltage Range

VIN

4.5~16

V

Output Voltage

VOUT

5.0

V

Output Current

IOUT

3

A

 

EVALUATION BOARD & EFFICIENCY:

1.png 

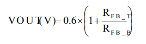
MUN12AD03-SH要具備內(nei)部人(ren)員(yuan)0.6V±1.5%參看電(dian)阻(zu)(zu)值。的輸出電(dian)阻(zu)(zu)值可能夠分電(dian)容(rong)式阻(zu)(zu)器(qi)(RFB\u T和RFB\u B)對其(qi)進(jin)行編程學習。打出電(dian)流電(dian)壓可借助方程組式1計(ji)算(suan),電(dian)阻(zu)(zu)功率器(qi)的選購可參考價值表1。

2.png 

武漢市立維創展(zhan)科技信息權限(xian)微商代理Cyntec全(quan)程品(pin)牌,傾力為(wei)潛在客戶提高高品(pin)級(ji)、優(you)質(zhi)化量(liang)、房價公(gong)開的主機電源包塊(kuai)品(pin)牌。品(pin)牌正品(pin)正廠,效率衡量(liang),為(wei)同中大陸市場提高科技使用,歡(huan)迎(ying)詞服(fu)務(wu)咨詢。

信息認知MUN12AD03-SH請點擊(ji)://dev.www.gyzhkj.com/product/3001.html

網友推薦方式
  • CHB150W8-36S15N:完美替代IQ32150HPC11NRS的國產工業電源模塊之選
    CHB150W8-36S15N:完美替代IQ32150HPC11NRS的國產工業電源模塊之選 2025-08-19 16:38:44 企業級電原模快選用中,SYNQOR 的 IQ32150HPC11NRS 雖功效菁英,但交由時期長、定貨代價高。國內的 CHB150W8-36S15N 模快與之要素參數指標同類,如發送輸出電阻、封口規格尺寸、保護功用等
  • ?ABR300系列工業級高性能 AC-DC ITE電源模塊
    ?ABR300系列工業級高性能 AC-DC ITE電源模塊 2025-08-13 16:31:34 ABR300 系列的工業制造級高安全性能 AC-DC ITE 電源適配器傳感器由新加坡 ARCH Electronics 投入市場,電機額定公率打印輸出公率 300W,主要采用帶底板磚塊式封口,架構緊密堅實、以及裝配,散熱處理。