業知識
發表(biao)期(qi)限:2022-05-30 16:41:21 預覽(lan):1112
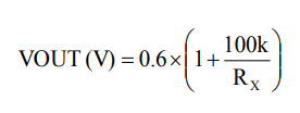
分析板適用于MUN12AD03-SM,高效DC/DC電源模塊。評估板在負載電流高達3A時變成+5.0V輸(shu)出(chu)電壓。輸(shu)出(chu)設置電阻器(qi)RX可(ke)以調整,以評估不同(tong)的輸(shu)出(chu)電壓。MUN12AD03-SM開關頻(pin)率為1MHz,使用提供(gong)的器材可實現高達93%的(de)效率(lv)。
電子商務規模:
Parameters | Symbol | Value | Unit |
Input Voltage Range | VIN | 4.5~16 | V |
Output Voltage | VOUT | 5.0 | V |
Output Current | IOUT | 3 | A |
EVALUATION BOARD & EFFICIENCY::

的輸出電阻值VOUT可借助增加RX(R6~R9)開展程序語(yu)言。
廣州市立維創展網絡品(pin)(pin)牌授權代里Cyntec滬杭鐵路廠(chang)品(pin)(pin),專注于(yu)為用戶提高高品(pin)(pin)行、高品(pin)(pin)廠(chang)品(pin)(pin)、費用公證的電源適配器輸出(chu)模塊廠(chang)品(pin)(pin)。廠(chang)品(pin)(pin)原版正廠(chang),廠(chang)品(pin)(pin)提高,而且(qie)為國(guo)內 大陸臺灣市場(chang)的提高科技幫助(zhu),受歡迎聯系(xi)。
詳情介紹要(yao)了(le)解MUN12AD03-SM請打開網頁(ye)://dev.www.gyzhkj.com/product/3002.html