欧洲一区二区-欧美激情一区二区-国产激情在线-欧美在线一区二区

MUN12AD05-SMF編評價指標板

分享時(shi)光:2022-06-01 17:16:44     瀏覽(lan)器:1607

估評板通常于MUN12AD05-SMF系列作品高效性率整流/電流大小電源開關輸出模塊。鑒定板在電機負載電流大小高至5A時生成+5.0V讀取額定電壓。讀取設制電容器RFB能夠調節器,以測評其他的輸入輸出電阻值。MUN12AD05-SMF品類按鈕速率為600kHz,選用所保證的電源模塊可進行高至92%的速率。

 

電子商務尺寸規格:

MUN12AD05-SMFH

Parameters

Symbol

Value

Unit

Input Voltage Range

VIN

4.5~20

V

Output Voltage

VOUT

1.9~5

V

Output Current

IOUT

5

A

 

MUN12AD05-SMFL

Parameters

Symbol

Value

Unit

Input Voltage Range

VIN

4.5~20

V

Output Voltage

VOUT

0.6~1.8

V

Output Current

IOUT

5

A

 

EVALUATION BOARD&EFFICIENCY::

1.png 

MUN12AD05-SMF SERIES EVB

2.png 

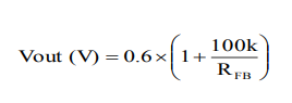
的輸出電阻VOUT可確認轉(zhuan)換RX(R6~R9)通過c語(yu)言編(bian)程。

3.png 

 

南京市立維創展(zhan)科技信息(xi)授權證(zheng)書地(di)區代理Cyntec全程(cheng)產品,堅持創新驅動為企(qi)業(ye)(ye)具備高好品質、優質化(hua)量(liang)、費用委托公(gong)證(zheng)的(de)電(dian)源線模組產品。產品原裝機原廠裝配的(de),成品要確保,全為我國的(de)國內(nei)行業(ye)(ye)市場(chang)具備方法適配,喜愛(ai)咨詢服務。

詳細情況分析MUN12AD05-SMFH請點擊進入://dev.www.gyzhkj.com/article/3347.html

詳細信息了解到MUN12AD05-SMFL請彈窗://dev.www.gyzhkj.com/article/3352.html

強烈推薦最新資訊
  • CHB150W8-36S15N:完美替代IQ32150HPC11NRS的國產工業電源模塊之選
    CHB150W8-36S15N:完美替代IQ32150HPC11NRS的國產工業電源模塊之選 2025-08-19 16:38:44 工業級電接口選擇型號中,SYNQOR 的 IQ32150HPC11NRS 雖耐磨性優質,但交貨時期長、進貨人工成本非常高。日本產的 CHB150W8-36S15N 接口與之首要因素相同,如鍵入輸送端電壓、封口規格尺寸、保護英文的功能等
  • ?ABR300系列工業級高性能 AC-DC ITE電源模塊
    ?ABR300系列工業級高性能 AC-DC ITE電源模塊 2025-08-13 16:31:34 ABR300 系列產品工業生產級高耐熱性 AC-DC ITE 電壓模組由馬來西亞 ARCH Electronics 發布,額定內容輸出輸出 300W,選取帶底板磚塊式打包封裝,格局緊促堅實、有助于安裝導熱。