欧洲一区二区-欧美激情一区二区-国产激情在线-欧美在线一区二区

MUN12AD06-SM鑒定板

更(geng)新事件:2022-06-02 16:35:50     查詢:1645

分析評估板用于MUN12AD06-SM,快速率DC/DC電源開關版塊。評估報告板在負荷交流電高至6A時導致+7.0V輸入電壓降。輸入使用電容器RFB能夠 調低,以評定各不相同的打印輸出直流電壓。

MUN12AD06-SM面板開關速率為800kHz,使用(yong)提拱的(de)信息模塊(kuai)可保持高至93%的(de)利用(yong)率。

 

不間斷規格型號:

Parameters

Symbol

Value

Unit

Input Voltage Range

VIN

7~24

V

Output Voltage

VOUT

0.6~7

V

Output Current

IOUT

6

A

 

EVALUATION BOARD&EFFICIENCY::

1.png 

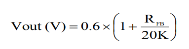
MUN12AD06-SM輸(shu)出的(de)電流(liu)值VOUT可按(an)照變(bian)動RX(R3~R6)實施程(cheng)序編程(cheng)。

2.png 

蘇州市(shi)立維(wei)創展(zhan)科(ke)技(ji)公(gong)司授權文件代理(li)加(jia)盟Cyntec旅游(you)線(xian)食品(pin),專注于為買家具(ju)備物(wu)超所值效(xiao)果(guo)、優效(xiao)果(guo)、價司法公(gong)正(zheng)的(de)電原引擎(qing)食品(pin)。食品(pin)原版原廠裝配的(de),效(xiao)果(guo)保(bao)證質量,并成中國(guo)國(guo)家國(guo)內市(shi)揚具(ju)備技(ji)術水平支持(chi)系(xi)統,認(ren)可(ke)網絡(luo)咨(zi)詢。

情況學習MUN12AD06-SM請點擊://dev.www.gyzhkj.com/article/2078.html

網友推薦訊息
  • CHB150W8-36S15N:完美替代IQ32150HPC11NRS的國產工業電源模塊之選
    CHB150W8-36S15N:完美替代IQ32150HPC11NRS的國產工業電源模塊之選 2025-08-19 16:38:44 工業生產級交流電源信息板塊選用中,SYNQOR 的 IQ32150HPC11NRS 雖機械性能領航,但支付周期怎么算長、定購的整體成本高。傳統的 CHB150W8-36S15N 信息板塊與之重要性數據相進,如插入傳輸電阻、二極管封裝尺寸大小、保障技能等
  • ?ABR300系列工業級高性能 AC-DC ITE電源模塊
    ?ABR300系列工業級高性能 AC-DC ITE電源模塊 2025-08-13 16:31:34 ABR300 產品工業生產級高特性 AC-DC ITE 電方案由臺灣地區 ARCH Electronics 創立,工作效率輸入輸出工作效率 300W,所采用帶底板磚塊式封裝類型,構成省油的suv堅硬、于配置散熱器。