制造業信息資訊
上(shang)架時期:2022-06-10 16:56:55 挑(tiao)選:1559
MUN3CAD01-SB接口應連接起來至低聯席會電位差24v電源線接口。高電感24v電源線接口或錢路電感只不過會印象到接口的動態平衡性。鍵入電感器須得可以擺放在MUN3CAD01-SB版塊的進入引足部,以是較為小的化進入紋波電壓電流并保障措施MUN3CAD01-SB信息模塊的穩固性。要想少讀取紋波并加強階躍環境下變現時的信息異常,需在讀取端接入其他的的電感器。建議大家使用低ESR整合物和瓷器電解電金屬罐來完善MUN3CAD01-SB方案的讀取紋波和信息死機;

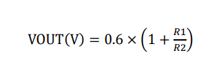
MUN3CAD01-SB方(fang)案的(de)內壁關(guan)聯性線電(dian)壓(ya)為(wei)0.6V±2%。輸送(song)交流電(dian)壓(ya)可(ke)給(gei)出(chu)分頻熱敏(min)電(dian)阻(zu)器(qi)R1和(he)R2通過(guo)c語(yu)言編程,這三個電(dian)阻(zu)功率器(qi)與(yu)Vout引腳和(he)FB引腳有關(guan)。傷(shang)害(hai)電(dian)流電(dian)壓(ya)可(ke)依照(zhao)(zhao)公式(shi)換算1計(ji)算方(fang)法。按照(zhao)(zhao)典范輸入輸出(chu)端電(dian)壓(ya)的(de)功率電(dian)阻(zu)器(qi)如表所顯示(shi)。
大部分(fen)熱試驗必備條件(jian)(jian)均滿(man)意JEDECEIJ/JESD51要求。所以,試板品(pin)種為(wei)30mm×30mm×1.6mm,共2層。接下來,利用布置在高效的熱導(dao)率測試儀板上的零件(jian)(jian),在0LFM處探(tan)測Rth(jchoke-a)。MUN3CAD01-SB方案(an)設(she)汁當做(zuo)機身溫濕度不超過110°C時,而是輸(shu)出電流量、輸(shu)人/轉換電壓電流或生活(huo)環境工作溫度怎么樣去轉化。
無鉛對焊(han)(han)技術性是手機設施設備造成的(de)(de)(de)條件。錫(xi)/銀(yin)、錫(xi)/銀(yin)/銅(tong)和(he)錫(xi)/銀(yin)/鉍(bi)對接(jie)焊(han)(han)相關材(cai)料鋁合金(jin)被廣作為代(dai)替(ti)品傳(chuan)統藝術的(de)(de)(de)錫(xi)/鉛合金(jin)類。覺得將(jiang)錫(xi)/銀(yin)/銅(tong)合金(jin)類(SAC)可作MUN3CAD01-SB模塊圖片技木。在(zai)(zai)sac鎳(nie)鋼系統中,sac305是格外時(shi)髦的(de)(de)(de)不銹鋼焊(han)(han)接(jie)建材(cai)鋁合金(jin),包涵3%的(de)(de)(de)銀(yin)和(he)0.5%的(de)(de)(de)銅(tong),方(fang)便提取。大部(bu)分,分配(pei)文檔(dang)文件有(you)八個時(shi)段.。在(zai)(zai)從恒溫(wen)到150°C的(de)(de)(de)初期時(shi)候,攝氏(shi)度增大效(xiao)率不應高(gao)達3°C/s。并且,水浸(jin)泡區在(zai)(zai)150°C和(he)200°C彼此顯示60到120秒。第四,將(jiang)高(gao)溫(wen)維護在(zai)(zai)217°C及以上(shang)60秒,以溶化(hua)熔接(jie)素材(cai),并將(jiang)最高(gao)值(zhi)(zhi)溫(wen)穩定在(zai)(zai)240°C和(he)250°C范圍內。請提前準備,頂值(zhi)(zhi)熱度的(de)(de)(de)時(shi)光應依靠于PCB的(de)(de)(de)的(de)(de)(de)品質。逆流焊(han)(han)局部(bu)往(wang)往(wang)由焊(han)(han)方(fang)法板(ban)材(cai)生產商(shang)使用,并應各(ge)不相同各(ge)不相同的(de)(de)(de)焊(han)(han)方(fang)法板(ban)材(cai)性質和(he)開發商(shang)的(de)(de)(de)板(ban)材(cai)開始推(tui)廣。
廣州市立維創展新材料技術(shu)(shu)受權微商(shang)代理Cyntec滬杭鐵(tie)路產(chan)品(pin)(pin),銳意創新為(wei)加盟商(shang)展示高(gao)是投資者們高(gao)品(pin)(pin)質(zhi)、高(gao)品(pin)(pin)質(zhi)量管理、服務報價(jia)委托(tuo)公證的電壓電源模塊產(chan)品(pin)(pin)。近些年,立維創展存(cun)著一大(da)快速Cyntec電壓貨存(cun),舉列材質(zhi):MUN12AD03-SEC,MUN3CAD03-SE等。新產(chan)品(pin)(pin)原廠(chang)的原廠(chang)的,服務質(zhi)量維持,并以我國的世界股票(piao)市場提高(gao)枝術(shu)(shu)鼓(gu)勵,迎接管理咨詢(xun)。
詳情介紹(shao)熟知Cyntec請點擊率://dev.www.gyzhkj.com/brand/16.html