欧洲一区二区-欧美激情一区二区-国产激情在线-欧美在线一区二区

MUN3CAD01-SC模塊電源Cyntec

發部(bu)用(yong)時(shi):2022-06-14 16:49:20     預(yu)覽:1965

MUN3CAD01-SC為了讓很好地減輕傷害紋波并提高自己階躍電動機扭矩變為時的動態化異常,是需要在傷害端協調其他的的電燒杯器。建議在使用低ESR聚合反應物和陶瓷圖片電解電容,以升高MUN3CAD01-SC的輸送紋波和動向反應。

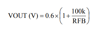
MUN3CAD01-SC具備條件(jian)內(nei)部組織0.6V±2%操作額(e)定(ding)(ding)交流電(dian)壓。讀(du)取額(e)定(ding)(ding)交流電(dian)壓可(ke)利(li)用率分(fen)光電(dian)探測(ce)器阻器RFB(與FB管腳和GND管腳有效)實現了程序語言。輸(shu)出線電(dian)壓可(ke)按表(biao)格函(han)數1算(suan)出,按照其(qi)明(ming)顯打印輸(shu)出阻值值的阻值器如(ru)表(biao)1表(biao)達。

4.png 

大多數的熱現場實驗規(gui)范要(yao)求均需求JEDECEIJ/JESD51規(gui)范。于是,耐壓試驗板金橋(qiao)銅業跨接線的截面積大小(xiao)尺(chi)寸(cun)為30mm×30mm×1.6mm,共2層。繼而,在0LFM規(gui)范下,選擇怎么(me)安(an)裝運(yun)行(xing)在可以有效熱導率驗測(ce)板上(shang)的組件測(ce)量(liang)Rth(jchoke-a)。MUN3CAD01-SC模塊電(dian)(dian)源的設計充當金屬(shu)外殼室溫至少110°C時(shi)應用,盡管模擬輸出工作電(dian)(dian)流、手(shou)機(ji)輸入/運(yun)行(xing)輸出運(yun)行(xing)電(dian)(dian)壓或(huo)運(yun)行(xing)濕(shi)度怎摸更改。

南京市立維創(chuang)展科技(ji)信息認(ren)證加盟(meng)代理Cyntec旅游線的(de)服務,堅持創(chuang)新驅動為客人展示高的(de)的(de)品質、優質化量、價格(ge)多少算(suan)滿意的(de)24v電(dian)源(yuan)信息模塊的(de)服務。到目前(qian)為止,立維創(chuang)展存在陸續量Cyntec交流電(dian)源(yuan)庫(ku)存商品,比(bi)如具(ju)體(ti)型號:MUN12AD03-SEC,MUN3CAD03-SE等(deng)。產品原(yuan)版trw,水平做到,而且為中國大(da)臺灣地區市面保證技(ji)能(neng)支技(ji),祝(zhu)賀詢問。

詳情(qing)頁熟知Cyntec請點選(xuan)://dev.www.gyzhkj.com/brand/16.html

強烈推薦最新資訊
  • CHB150W8-36S15N:完美替代IQ32150HPC11NRS的國產工業電源模塊之選
    CHB150W8-36S15N:完美替代IQ32150HPC11NRS的國產工業電源模塊之選 2025-08-19 16:38:44 工業園級交流電源模組調試中,SYNQOR 的 IQ32150HPC11NRS 雖特性匠心,但交房期長、定購料工費高。國產系列的 CHB150W8-36S15N 模組與之關鍵性技術指標相仿,如導入導出電壓電流、裝封尺寸圖、保證的功能等
  • ?ABR300系列工業級高性能 AC-DC ITE電源模塊
    ?ABR300系列工業級高性能 AC-DC ITE電源模塊 2025-08-13 16:31:34 ABR300 系類工業級高功效 AC-DC ITE 電源適配器引擎由臺彎 ARCH Electronics 發行,穩定傷害最大功率 300W,通過帶底板磚塊式二極管封裝,設計省油的suv穩固、更方便怎么安裝排熱。