欧洲一区二区-欧美激情一区二区-国产激情在线-欧美在线一区二区

?MUN24AD01-SH電源模塊Cyntec

發部精(jing)力:2022-06-20 16:34:57  ;   訪問 :1984

MUN24AD01-SH功能模塊應聯結到低溝通交流電阻值旋鈕電壓模塊,高電感旋鈕電壓模塊或規劃電感可能性會作用到MUN24AD01-SH的平穩性能方面。搜索濾波電場所應該直接的安裝在MUN24AD01-SH的發送管腳背,以輕柔的化發送紋波電壓值并保證質量MUN24AD01-SH平穩使用性能。

方便(bian)好些地(di)少讀取紋波并上(shang)升(sheng)對階躍(yue)電(dian)動(dong)機(ji)扭矩起(qi)伏的(de)(de)情況相應,要有在讀取端利用另(ling)外的(de)(de)電(dian)阻器。意(yi)見建議(yi)利用低ESR瓷質電(dian)容器來提(ti)升(sheng) MUN24AD01-SH的(de)(de)排除(chu)紋波和各式各樣反映。

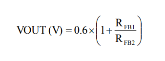
輸出(chu)線電壓(ya)可根據分電容式阻器RFB1和RFB2實行代碼(RFB1從FB連結到Vout;RFB2從FB接入到GND)。比如(ru)RFB1放置為100千歐,輸送電流電壓(ya)可按公(gong)試(shi)1求算(suan),類型打印輸出(chu)端電壓(ya)的電阻器如(ru)表1如(ru)下圖所示(shi)。

1.png 

每個(ge)的(de)(de)熱(re)實(shi)驗(yan)性狀況均足夠JEDECEIJ/JESD51標(biao)淮。故此,實(shi)驗(yan)性板厚(hou)(hou)度規格厚(hou)(hou)度為30mm×30mm×1.6mm,共(gong)4層(ceng)。接著隨后在0LFM必要條件下,用(yong)到安裝(zhuang)用(yong)用(yong)在合理的(de)(de)熱(re)導(dao)率檢(jian)查檢(jian)測(ce)板上的(de)(de)耐壓(ya)試驗(yan)檢(jian)測(ce)Rth(jchoke-a)。MUN24AD01-SH板塊規劃把他(ta)們拿來電機(ji)外殼溫(wen)度表至(zhi)少110°C時選擇,盡(jin)管效果交流電、鍵入/任(ren)務輸出(chu)的(de)(de)電壓(ya)或任(ren)務環境溫(wen)度怎么樣改動。

成都(dou)市立(li)維(wei)創展科(ke)技(ji)開(kai)發授權(quan)證書(shu)代理(li)費Cyntec全面類車輛,致力于(yu)為(wei)企(qi)業保證高品級、優質化(hua)量(liang)、房(fang)價司法公正的開(kai)關電源組件類車輛。現,立(li)維(wei)創展可(ke)(ke)存大量(liang)量(liang)Cyntec供電庫存積壓,舉例子技(ji)術參數(shu):MUN12AD03-SEC,MUN3CAD03-SE等。物料正廠正廠,品質確保,為(wei)同我(wo)們地區(qu)整個(ge)市場(chang)供給系統(tong)可(ke)(ke)以,認可(ke)(ke)咨詢(xun)公司。

商(shang)品詳(xiang)情頁學習Cyntec請打開://dev.www.gyzhkj.com/brand/16.html


推介新聞咨詢
  • CHB150W8-36S15N:完美替代IQ32150HPC11NRS的國產工業電源模塊之選
    CHB150W8-36S15N:完美替代IQ32150HPC11NRS的國產工業電源模塊之選 2025-08-19 16:38:44 工藝級主機電源模快圖片型號選擇中,SYNQOR 的 IQ32150HPC11NRS 雖功效優秀,但交貨時期長、購貨成本投入高。國產貨的 CHB150W8-36S15N 模快圖片與之關鍵所在指標同類,如錄入輸入電阻值、封口規格、確保基本功能等
  • ?ABR300系列工業級高性能 AC-DC ITE電源模塊
    ?ABR300系列工業級高性能 AC-DC ITE電源模塊 2025-08-13 16:31:34 ABR300 系統工業生產級性能比較高指標 AC-DC ITE 電源線模塊電源由臺灣 ARCH Electronics 開售,最大功率轉換最大功率 300W,用到帶底板磚塊式裝封,結構的緊奏型耐用、有助裝熱管散熱。