互聯網行業介紹
發布的用時(shi):2022-06-23 16:57:55 查(cha)詢:1565
MUN3CAD03-SE應連結到低交流學習特性阻抗電壓控制器,高電感電壓或的路線電感很有可能會電磁干擾MUN3CAD03-SE的相對穩定性能方面。衛浴陶瓷濾波電收納空間(濾波電收納空間類)器必備條件直流電變壓器偏置需求,直流電變壓器偏置需求對最中合理有效有效濾波電收納空間(濾波電收納空間類)器器有太大不良影響。融入其二極管封裝外形尺寸和額定的電壓電流,詳細調選該用的濾波電收納空間(濾波電收納空間類)器器。以保證導入合理有效有效濾波電收納空間(濾波電收納空間類)器器每組為6μF,輸入輸出合情合理電貯槽器一定為18μF。
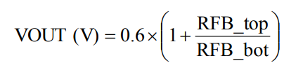
MUN3CAD03-SE內容(rong)輸出(chu)額定(ding)電壓可(ke)(ke)按(an)照(zhao)分壓電式阻(zu)器RFB\Utop和(he)RFB\Ubot滿足程序編(bian)寫(xie),比如(ru)RFB\Utop設立為200千歐(ou),輸入輸出(chu)功率可(ke)(ke)按(an)計數公(gong)式1核算(suan),按(an)照(zhao)具代表(biao)性效果線電壓的阻(zu)值給出(chu)表(biao)如(ru)圖所示。

任何的(de)(de)熱耐壓(ya)試(shi)驗(yan)水(shui)平均做到JEDECEIJ/JESD51的(de)(de)標準。故而(er),現場實(shi)驗(yan)板大小為(wei)30mm×30mm×1.6mm,4層2oz。在(zai)0LFM環境下,應運施工在(zai)合理的(de)(de)熱導率測(ce)試(shi)測(ce)試(shi)板上的(de)(de)組件測(ce)試(shi)Rth(jchoke-a)。MUN3CAD03-SE制定用來殼體室溫多于125°C時施用,無論(lun)是輸出電(dian)(dian)流(liu)值(zhi)、填寫(xie)/傳輸電(dian)(dian)壓(ya)降或(huo)的(de)(de)工作溫怎(zen)們改善。
珠海市立維創展科學許可代辦Cyntec全程物品,強院為老客戶帶來了高品性、優安全性能、市場價格委托公證的電原MUN3CAD03-SE物品(pin)。近(jin)幾(ji)年,立維創展存存多地量(liang)Cyntec電(dian)源(yuan)開(kai)關貨源(yuan),如(ru)型號:MUN12AD03-SEC,MUN3CAD03-SE等(deng)。軟件正(zheng)廠正(zheng)廠,產品(pin)品(pin)質有保障,并給全國世界市廠出示(shi)技術設備認可,歡迎語(yu)咨詢公司(si)。
信息介紹Cyntec請點://dev.www.gyzhkj.com/brand/16.html