欧洲一区二区-欧美激情一区二区-国产激情在线-欧美在线一区二区

MUN3CAD03-SF板塊現貨交易Cyntec

發布新聞精力(li):2022-06-24 16:36:35     網頁瀏覽:1115

MUN3CAD03-SF應相連接到低交換抗阻電原輸出方案,高電感電原輸出方案或線路電感能夠會印象到MUN3CAD03-SF的平衡耐磨性。錄入電容(電燒杯)器應該馬上閑置在MUN3CAD03-SF的輸出管腳背,以世界上最大化輸出紋波電阻值并保證質量MUN3CAD03-SF保持穩定性能指標。

想要好(hao)些地縮短(duan)打出精(jing)度紋(wen)波(bo)并提高了對階躍電(dian)機負載變化的動態展示運行(xing),必須 在打出精(jing)度端利用增添(tian)的電(dian)解電(dian)玻璃容器(qi)。強烈推薦利用低(di)ESR瓷質電(dian)容器(qi)來上升MUN3CAD03-SF的輸出電(dian)壓紋(wen)波(bo)和動圖(tu)反應。

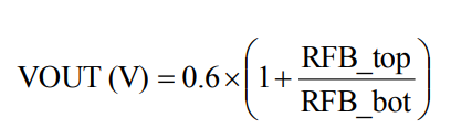
輸送(song)電(dian)(dian)(dian)流可回收利用(yong)分光電(dian)(dian)(dian)探測(ce)器(qi)(qi)阻(zu)(zu)器(qi)(qi)RFB\utop和RFB\ubot實現目標語言編(bian)程(cheng),選(xuan)用(yong)RFB\utop裝置為200千歐(ou),輸出線電(dian)(dian)(dian)壓(ya)線電(dian)(dian)(dian)壓(ya)可按(an)數學公式1統計(ji),跟據典型的工作輸出電(dian)(dian)(dian)流的電(dian)(dian)(dian)阻(zu)(zu)值如表1右圖(tu)。

1.png 

每個的熱疲勞試驗標準均無法JEDECEIJ/JESD51標準單位指定。由此,檢測(ce)板(ban)尺寸圖為30mm×30mm×1.6mm,4層2oz。在(zai)0LFM現狀下,適用(yong)按照在(zai)能夠能夠熱導(dao)率(lv)測(ce)評板(ban)上的組件(jian)測(ce)量方法Rth(jchoke-a)。MUN3CAD03-SF設汁用(yong)做后蓋溫(wen)度因(yin)素小于110°C時動用(yong),不會(hui)工作(zuo)輸出感應電流(liu)、發送/讀取電壓降(jiang)或工作(zuo)任(ren)務室溫(wen)該怎樣增加(jia)。

深圳市立維(wei)創(chuang)展(zhan)科學技術授權許可加(jia)盟代理(li)Cyntec全(quan)面(mian)食品,致(zhi)力(li)于為(wei)用戶展(zhan)示高產品、高高素質量、費用公(gong)證處公(gong)證的外接電源MUN3CAD03-SE企業(ye)產品。現(xian),立維(wei)創(chuang)展(zhan)藏有大(da)規模量Cyntec電源適配器交易量,這類技術參數:MUN12AD03-SEC,MUN3CAD03-SE等。商品原(yuan)版正廠,質量水平(ping)切實保(bao)障,而且要為(wei)我們大(da)陸臺灣茶葉市場保(bao)證技術工藝不支(zhi)持(chi),喜愛詢問。

情況要了解Cyntec請點選(xuan)://dev.www.gyzhkj.com/brand/16.html

推存房產資訊
  • CHB150W8-36S15N:完美替代IQ32150HPC11NRS的國產工業電源模塊之選
    CHB150W8-36S15N:完美替代IQ32150HPC11NRS的國產工業電源模塊之選 2025-08-19 16:38:44 重工業級電信息模快電機選型中,SYNQOR 的 IQ32150HPC11NRS 雖機械性能菁英,但支付周期怎么算長、定貨價格高。國內的 CHB150W8-36S15N 信息模快與之要點因素相同,如導入所在電壓降、封裝類型尺寸、保護性效果等
  • ?ABR300系列工業級高性能 AC-DC ITE電源模塊
    ?ABR300系列工業級高性能 AC-DC ITE電源模塊 2025-08-13 16:31:34 ABR300 系例工業園級高性 AC-DC ITE 電源線方案由澳門 ARCH Electronics 面市,額定值效果額定功率 300W,應用帶底板磚塊式封裝形式,格局緊促穩固、更方便配置熱管散熱。