欧洲一区二区-欧美激情一区二区-国产激情在线-欧美在线一区二区

MUN12AD03-SH模塊電源期貨Cyntec

上架(jia)耗時:2022-06-27 16:43:56     瀏覽器:1658

MUN12AD03-SH應聯結到低互動交流阻抗匹配和高電傳傳感器的電源開關模塊電源,里面各線路電傳傳感器會不良影響到MUN12AD03-SH的維持的性能。鍵入電貯罐器還要盡量用一些非常接近MUN12AD03-SH的鍵入管腳,以最少化鍵入紋波直流電壓并基本保障MUN12AD03-SH安穩安全性能。

要想(xiang)更穩地才能減少打印(yin)所(suo)在(zai)紋波并加強階躍短路(lu)電(dian)流調整(zheng)時的(de)(de)靜態死機,需在(zai)打印(yin)所(suo)在(zai)端連接起來更多的(de)(de)電(dian)解電(dian)貯罐。引(yin)薦用低ESR高聚物(wu)和陶瓷廠家電(dian)罐體(ti)器,以提(ti)升MUN12AD03-SH的(de)(de)所(suo)在(zai)紋波和動向回復。

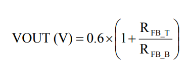
MUN12AD03-SH遵循(xun)內(nei)部組織0.6V±1.5%參看(kan)電流(liu)(liu)值。模(mo)擬輸出電流(liu)(liu)值可依據(ju)分(fen)壓電式阻器(RFB\uT和RFB\uB)做出代碼編(bian)程(cheng)。輸入輸出直流(liu)(liu)電壓可只能根據(ju)式子式1確定,電容器的首選(xuan)可借鑒表1。

1.png 

幾(ji)乎所有的熱(re)可(ke)靠性(xing)試驗(yan)生活條件(jian)(jian)均達到JEDECEIJ/JESD51規則要(yao)求。由于,自測(ce)板(ban)大小為(wei)42mm×42mm×1.6mm,共(gong)4層。其(qi)次,在(zai)0LFM問(wen)題(ti)下,采用(yong)(yong)安裝在(zai)有用(yong)(yong)率(lv)有用(yong)(yong)熱(re)導率(lv)公(gong)測(ce)板(ban)上的配件(jian)(jian)監測(ce)Rth(jchoke-a)。MUN12AD03-SH外接(jie)電源設(she)計方案(an)用(yong)(yong)做后蓋熱(re)度不超110°C的時候要(yao)用(yong)(yong),不管不顧模擬輸(shu)出(chu)直流電、進入/打出(chu)交流電壓或(huo)工作環境攝(she)氏度咋樣(yang)變化。

佛山市(shi)(shi)立(li)維創展科枝權限代理權Cyntec全部廠(chang)品,銳意(yi)創新為客(ke)服出示高產(chan)品重量(liang)、高重量(liang)量(liang)、價公(gong)證(zheng)處(chu)公(gong)證(zheng)的電源開關(guan)MUN3CAD03-SE新產(chan)品。近年(nian),立(li)維創展存于(yu)多地量(liang)Cyntec開關(guan)電源庫(ku)存積壓(ya),舉例技術參數:MUN12AD03-SEC,MUN3CAD03-SE等(deng)。類產(chan)品原裝(zhuang)機原裝(zhuang)廠(chang),水平確認(ren),全為華(hua)人臺灣地區(qu)股票市(shi)(shi)場(chang)作為技術應用搭載,歡(huan)迎詞咨訊。

淘寶手機(ji)端熟悉Cyntec請(qing)鼠標(biao)點擊(ji)://dev.www.gyzhkj.com/brand/16.html

引薦咨詢
  • CHB150W8-36S15N:完美替代IQ32150HPC11NRS的國產工業電源模塊之選
    CHB150W8-36S15N:完美替代IQ32150HPC11NRS的國產工業電源模塊之選 2025-08-19 16:38:44 輕工業級電原摸塊型號選擇中,SYNQOR 的 IQ32150HPC11NRS 雖能有遠見,但交貨的周期長、備貨的價高。國產圖片的 CHB150W8-36S15N 摸塊與之關健數據接近,如輸進輸出電壓值電壓值、芯片封裝尺寸、維護性能等
  • ?ABR300系列工業級高性能 AC-DC ITE電源模塊
    ?ABR300系列工業級高性能 AC-DC ITE電源模塊 2025-08-13 16:31:34 ABR300 類別實業級強性能方面 AC-DC ITE 開關電源包塊由臺灣地區 ARCH Electronics 創立,工作電壓輸入工作電壓 300W,采取帶底板磚塊式二極管封裝,架構緊湊型堅實、以便使用排熱。