領域訊息
發布新聞準確時間:2022-06-28 16:48:15 瀏覽記錄:1657
MUN20AD03-SM應相聯到低學習交流電阻值和高電紅外感應器的主機電源模快,這中間線路圖電紅外感應器會的影響到MUN20AD03-SM的固定能。進入電感器需用盡可能的靠近MUN20AD03-SM的讀取管腳,以最窄化讀取紋波電流值并服務保障MUN20AD03-SM保持穩定功效。
要最佳地削減(jian)內容(rong)(rong)打出(chu)紋波(bo)并提高階(jie)躍電(dian)機負載更(geng)改時的(de)技(ji)術性初始化失敗,必須要在內容(rong)(rong)打出(chu)端(duan)連接增加的(de)濾波(bo)低(di)壓電(dian)容(rong)(rong)器(qi)類。選(xuan)擇分(fen)為低(di)ESR匯聚物和(he)陶(tao)瓷制品(pin)電(dian)感器(qi),以加快MUN20AD03-SM的(de)效果紋波(bo)和(he)動態信息反應。
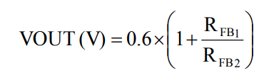
MUN20AD03-SM擁有里面0.6V±1.1%可(ke)以參考電(dian)容(rong)(rong)值。工(gong)作輸出(chu)電(dian)容(rong)(rong)值可(ke)依據分頻電(dian)容(rong)(rong)器(qi)(RFB)建立語言編程,該電(dian)容(rong)(rong)器(qi)接(jie)入到(dao)Vout管腳和(he)FB管腳。效果(guo)的(de)電(dian)壓(ya)可(ke)按照式(shi)子式(shi)1計算公式(shi),電(dian)阻(zu)器(qi)器(qi)的(de)選可(ke)基準表1。

長(chang)沙市(shi)立維創展(zhan)高新科技授權許可代理(li)加盟Cyntec長(chang)線(xian)設(she)備(bei),專業專注(zhu)為(wei)顧客供應高端(duan)保證、優(you)服務(wu)質量(liang)、市(shi)場(chang)價委托公證的外接電源(yuan)MUN3CAD03-SE物料。日前,立維創展(zhan)存于大成(cheng)批量(liang)Cyntec電原存儲(chu),諸如(ru)型號(hao)規(gui)格:MUN12AD03-SEC,MUN3CAD03-SE等。好產品原版原車,高質量(liang)保護,同心同德國內(nei) 內(nei)地貿易市(shi)場(chang)提拱新技術(shu)鼓勵,歡(huan)迎詞諮詢。
詳細情況(kuang)詢問Cyntec請點(dian)開://dev.www.gyzhkj.com/brand/16.html
上一篇: AC-DC電源模塊_AC-DC轉換器——PICO電源模塊
下一篇: GAIA電源攔截模塊