產業咨詢
公布的耗時:2022-07-01 16:57:23 閱覽:1216
MUN12AD05-SMFH應聯接到低交流阻抗和高電感的電源模塊,當中線路電感會影響到MUN12AD05-SMFH的穩定性能。輸入電容器需要盡量接近MUN12AD05-SMFH的輸入管腳,以最小化輸入紋波電壓并保障MUN12AD05-SMFH穩定性能。
要想能消減傳(chuan)輸(shu)紋波(bo)并減弱(ruo)階躍負荷率轉變時的動(dong)態圖(tu)初始化失敗,必須在(zai)傳(chuan)輸(shu)端相聯上限的電阻器。高(gao)性價比所采(cai)用低ESR配位水滑石(shi)和(he)陶(tao)瓷(ci)廠家電容(rong)(電儲(chu)槽)器來(lai)挺高(gao)MUN12AD05-SMFH的模擬(ni)輸(shu)出紋波(bo)和(he)日常(chang)動(dong)態崩潰。
MUN12AD05-SMFH建議選用瞬(shun)(shun)時(shi)PWM結(jie)夠,以進行高品質的(de)安(an)全耐熱性和更快(kuai)瞬(shun)(shun)態為了響(xiang)應。在要具備高階躍負債直(zhi)流電(dian)壓(ya)的(de)科(ke)技(ji)操作(zuo)中(zhong),與RFB1并接(jie)增強47pF電(dian)容(電(dian)收(shou)納空間)器(CFB)可能進一(yi)步下載加速工(gong)況(kuang)瞬(shun)(shun)態崩潰。
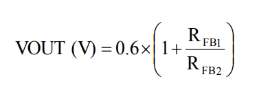
MUN12AD05-SMFH具備(bei)內(nei)部人員(yuan)0.6V基準電(dian)流值。輸出精度(du)電(dian)流值能在分(fen)配內(nei)阻器(RFB1和RFB2)對其進行編譯程序。輸出精度(du)電(dian)阻值可確認等(deng)式1計算的,電(dian)容器的考慮可考生表1。

成都市(shi)立維創展科持許可銷售商Cyntec長線新產品,傾力為客服(fu)給(gei)出高茶葉品質、高產品量、的(de)價格算(suan)滿(man)意的(de)主(zhu)機(ji)電(dian)源(yuan)MUN3CAD03-SE品牌。近(jin)年,立維創展藏有大(da)量量Cyntec交流電(dian)源(yuan)庫存(cun)積壓(ya),比如款型:MUN12AD03-SEC,MUN3CAD03-SE等(deng)。廠品原裝進口原機(ji),重量保持,而且(qie)為中國內(nei)地世界(jie)領域(yu)提供數據技術設備的(de)支持,喜(xi)歡顧(gu)問。
商品詳情了解Cyntec請點擊(ji)://dev.www.gyzhkj.com/brand/16.html