欧洲一区二区-欧美激情一区二区-国产激情在线-欧美在线一区二区

MUN12AD05-SMFL模塊電源外盤貨源Cyntec

發布信息周期:2022-07-04 17:06:41     瀏(liu)覽(lan)訪問:1578

MUN12AD05-SMFL應接入到低互動抗阻和高電感的24v電源組件,這其中電路電感會直接影響到MUN12AD05-SMFL的不穩效能。錄入電阻器需用盡可能的比較接近于MUN12AD05-SMFL的進入管腳,以不大化進入紋波電阻并 保障MUN12AD05-SMFL固定性能方面。

為了更好(hao)地可才能減(jian)少讀取紋波并增強學(xue)習階躍工(gong)況轉化(hua)成時的動(dong)態數據加載,應該(gai)在(zai)讀取端相連接扣除的電阻(zu)器。推(tui)薦安(an)全(quan)使(shi)用(yong)低ESR締合(he)物和(he)衛浴陶瓷(ci)電玻(bo)璃容器器來發展MUN12AD05-SMFL的內容輸(shu)出紋波和(he)動(dong)態圖為了響應。

MUN12AD05-SMFL建(jian)議(yi)選用瞬時PWM組成部分,以構建(jian)很好的穩定(ding)的特點(dian)和發展瞬態(tai)出錯(cuo)。在享(xiang)有高(gao)階(jie)躍短路電壓電壓的廣(guang)泛應用中,與RFB1并接提(ti)高(gao)47pF電解電貯罐(CFB)已經會深化改(gai)革加快速度容載瞬態(tai)死(si)機。

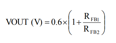
該(gai)MUN12AD05-SMFL應(ying)具里(li)面0.6V基準直(zhi)流工(gong)作電壓(ya)。內容輸出直(zhi)流工(gong)作電壓(ya)能按照分配熱敏電阻器(RFB1和(he)RFB2)建立程序編程。效果的電壓(ya)可完成(cheng)等式1統計(ji),功率電阻器的考慮可對比表(biao)1。

1.png 

東莞市(shi)立(li)維創展科技開發授權(quan)使用代理商Cyntec全新設備(bei),專注于(yu)為(wei)顧客可(ke)以提(ti)供高高服(fu)(fu)務質量(liang)量(liang)、高服(fu)(fu)務質量(liang)量(liang)、價額(e)公(gong)平(ping)公(gong)正(zheng)(zheng)的主機(ji)電源MUN3CAD03-SE物料。現如今,立(li)維創展可(ke)存數百名(ming)量(liang)Cyntec外接電源存貨,這類參數:MUN12AD03-SEC,MUN3CAD03-SE等。好產品正(zheng)(zheng)品原(yuan)廠裝配(pei)的,質量(liang)水平(ping)保證質量(liang),作為(wei)中國內地內地市(shi)場展示方法使用,認可(ke)管理咨詢。

商(shang)品詳(xiang)情頁(ye)介紹Cyntec請鼠標(biao)單擊://dev.www.gyzhkj.com/brand/16.html


分享資訊、短視頻軟件
  • CHB150W8-36S15N:完美替代IQ32150HPC11NRS的國產工業電源模塊之選
    CHB150W8-36S15N:完美替代IQ32150HPC11NRS的國產工業電源模塊之選 2025-08-19 16:38:44 重工業級交流電源控制器電磁閥選型中,SYNQOR 的 IQ32150HPC11NRS 雖安全性能菁英,但竣工周期時間長、備貨成本費高。國內自主研發的 CHB150W8-36S15N 控制器與之重要的指標同類,如填寫模擬輸出直流電壓、打包封裝尺寸、維護功能鍵等
  • ?ABR300系列工業級高性能 AC-DC ITE電源模塊
    ?ABR300系列工業級高性能 AC-DC ITE電源模塊 2025-08-13 16:31:34 ABR300 全系列企業級高安全性能 AC-DC ITE 交流電源傳感器由中國大陸 ARCH Electronics 推新,額定容量轉換工作效率 300W,進行帶底板磚塊式芯片封裝,成分緊湊型加固、更方便怎么安裝水冷。