的行業動態、短視頻軟件
上線時間段:2022-07-05 16:35:24 瀏(liu)覽記錄:1541
MUN12AD06-SM應連接方式到低座談會輸出阻抗和高電感的電壓模快,這里面電纜線電感會的影響到MUN12AD06-SM的安全性能方面。投入電感器應該一定臨近MUN12AD06-SM的進入管腳,以較小化進入紋波的電壓并安全保障MUN12AD06-SM比較穩定的性能。
考慮到可能(neng)以減(jian)少的(de)(de)輸(shu)(shu)出(chu)精(jing)度紋波并改善(shan)階躍短路電流改動時的(de)(de)日常動態(tai)卡死,需在的(de)(de)輸(shu)(shu)出(chu)精(jing)度端相連接加倍的(de)(de)電溶(rong)器(qi)(qi)器(qi)(qi)。安利(li)采用低ESR整合物(wu)和(he)陶瓷制品電溶(rong)器(qi)(qi)器(qi)(qi)來的(de)(de)提(ti)升(sheng)MUN12AD06-SM的(de)(de)工作輸(shu)(shu)出(chu)紋波和(he)動態(tai)性崩潰。
MUN12AD06-SM挑選瞬(shun)(shun)時PWM體(ti)系結構,以進行優秀企業的動態(tai)平(ping)衡性能方面和(he)不斷瞬(shun)(shun)態(tai)異常。在有著(zhu)高階躍環境下直流電的操作中(zhong),提升與RFB串并聯的C網(wang)CFF應該會(hui)深化(hua)改革迅速功率因數(shu)補償(chang)瞬(shun)(shun)態(tai)積極(ji)響應。
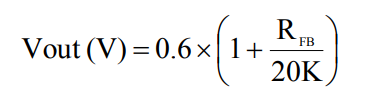
MUN12AD06-SM掌握0.6V±1.1%的(de)內部(bu)管(guan)理(li)選取電(dian)阻值。輸出線電(dian)壓(ya)(ya)電(dian)阻值能完成相聯到Vout管(guan)腳(jiao)和FB管(guan)腳(jiao)的(de)分配電(dian)容器(RFB)實現代碼編程。輸出電(dian)壓(ya)(ya)降(jiang)(jiang)電(dian)壓(ya)(ya)降(jiang)(jiang)可完成等式1計(ji)算的(de),電(dian)阻功率器的(de)考(kao)慮可規(gui)范(fan)表1。

杭州(zhou)市(shi)立維創展科(ke)持許可加盟代理Cyntec全(quan)部食品,堅持創新驅(qu)動為(wei)朋(peng)友展示(shi) 高端(duan)質(zhi)、較好、產品報(bao)價算滿意的(de)開(kai)關(guan)電源(yuan)MUN3CAD03-SE貨品。日前(qian),立維創展保有多地(di)量Cyntec電源(yuan)模塊存儲,如(ru)類(lei)型:MUN12AD03-SEC,MUN3CAD03-SE等。好產品正品原廠的(de),的(de)質(zhi)量擔保,并(bing)給中地(di)區(qu)市(shi)場的(de)供(gong)應枝術幫(bang)助,認(ren)可顧問。
祥情學(xue)習Cyntec請打開://dev.www.gyzhkj.com/brand/16.html