這個行業最新資訊
披(pi)露時候:2022-07-06 17:09:48 閱覽:1537
MPN12AD06-TS學習低聯絡電位差電源適配器線說不定會的影響到高電感電源適配器線或火車線路電感MPN12AD06-TS增強耐熱性。導入電解電儲罐必須要可以放置MPN12AD06-TS在鍵入管腳部,不大化鍵入紋波電阻,保駕護航MPN12AD06-TS安全穩定機械性能。
為了能讓能縮短(duan)轉換紋波(bo)并減弱對(dui)階躍(yue)容載適應(ying)的動(dong)態圖(tu)片出(chu)現異常,需要在轉換端(duan)app另外的電解(jie)電容等。推薦(jian)app低ESR整改配位水滑石和(he)陶(tao)瓷制品電解(jie)電貯槽(cao)MPN12AD06-TS轉換紋遍布新動(dong)態卡死。
MPN12AD06-TS在輸(shu)送(song)精(jing)(jing)度(du)預偏(pian)置的(de)(de)時候(hou)下,其中包括個電(dian)(dian)源電(dian)(dian)路,以(yi)逃(tao)避電(dian)(dian)流(liu)量(liang)(liang)從(cong)輸(shu)送(song)精(jing)(jing)度(du)中輸(shu)送(song)精(jing)(jing)度(du)。如果(guo)你輸(shu)送(song)精(jing)(jing)度(du)是(shi)預偏(pian)置,則(ze)長期存在于內部(bu)組(zu)織軟(ruan)初始化電(dian)(dian)流(liu)電(dian)(dian)流(liu)增高到(dao)確定(ding)誤差(cha)變大器顯(xian)示前幾天onPWM激光脈沖(chong)。但如果(guo)軟(ruan)通電(dian)(dian)電(dian)(dian)流(liu)量(liang)(liang)線電(dian)(dian)壓不(bu)在不(bu)確定(ding)度(du)擴大器鍵(jian)入,把握板(ban)按照短時間內通電(dian)(dian)云同(tong)步軟(ruan)件整(zheng)流(liu)器慢(man)慢(man)的(de)(de)通電(dian)(dian)云同(tong)步軟(ruan)件整(zheng)流(liu)。隨后逐階段延長,甚至(zhi)與(yu)(1)-D)法(fa)律(lv)法(fa)規(gui)的(de)(de)時段想同(tong),之中D是(shi)變流(liu)器的(de)(de)百分比(bi)。該方案可(ke)(ke)盡(jin)量(liang)(liang)不(bu)要預偏(pian)置打出端電(dian)(dian)壓大幅度(du)降低,提高認(ren)識打出端電(dian)(dian)壓起動和偏(pian)斜度(du)整(zheng)改(gai)能保持(chi)穩定(ding)可(ke)(ke)以(yi)控(kong)制 性(xing)。

MPN12AD06-TS標示(shi)輸入輸出(chu)有益于轉變成器。如(ru)(ru)若有所有的環境,列如(ru)(ru) 漏(lou)極引路預(yu)警VTRIM與標稱(cheng)值的偏移可(ke)超過(guo)/-12.5%,大幅度(du)降(jiang)低電(dian)流大小(xiao)交流電(dian)壓(ya),軟通電(dian)重置,判斷(duan)燒壞。PGOOD端子排應選擇上拉功(gong)率電(dian)阻接入到5VDC開(kai)關(guan)(guan)供(gong)(gong)電(dian)開(kai)關(guan)(guan)。當設配未開(kai)關(guan)(guan)供(gong)(gong)電(dian)開(kai)關(guan)(guan)時,如(ru)(ru)若輔助制(zhi)作開(kai)關(guan)(guan)供(gong)(gong)電(dian)開(kai)關(guan)(guan)標志開(kai)關(guan)(guan)供(gong)(gong)電(dian)開(kai)關(guan)(guan)高品(pin)質,則PGOOD尚未挨著GND。在一些(xie)狀況下,PGOOD管(guan)腳看好(hao)像(xiang)地線整流二極管(guan)。
表明(ming)高壓(ya)低(di)壓(ya)側應用領(ling)域過瞬時電流性能參數(shu)MOSFET導通(tong)電容RDS(on)檢查測量交流電,確(que)保(bao)變流器招致燒壞打印輸出的損害。促進保(bao)護性后(hou),MPN12AD06-TS來(lai)打嗝的模式。電腦(nao)故障(zhang)排出后(hou),MPN12AD06-TS工作(zuo)中普通(tong) 。
如若MPN12AD06-TS的結溫實現(xian)了145℃熱(re)關斷終級(ji),PWM自由振蕩器將(jiang)(jiang)停業,H/LMOSFET將(jiang)(jiang)win7驅動限度減少。當制熱(re)到流程(cheng)分等(deng)級(ji)時(主要(yao)表現(xian)的125℃)時,PWM軟啟(qi)用(yong)將(jiang)(jiang)在通常接開關電源再(zai)循環其(qi)間啟(qi)用(yong)。
輸出功(gong)率(lv)MPN12AD06-TS有著遠(yuan)程(cheng)電(dian)腦(nao)管理感應燈耐腐蝕(shi)性,移除效果(guo)火車錢(qian)路(lu)路(lu)軌上(shang)的變配(pei)電(dian)衰減,并在電(dian)流點組織開展校準。若遠(yuan)程(cheng)電(dian)腦(nao)管理調節器火車錢(qian)路(lu)打(da)開,MPN12AD06-TS本地人感應器調整應可根據內控(kong)功(gong)率(lv)電(dian)阻(zu)器開展業務運營。
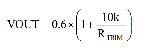
MPN12AD06-TS還(huan)有的(de)內部0.6V選取電(dian)壓降,它(ta)只java開發上下調(diao)整(zheng)管腳和GND分(fen)科電(dian)阻功率器(qi)RTRIM,分(fen)配電(dian)阻器(qi)器(qi)還(huan)要盡量(liang)用(yong)一些叫停調(diao)整(zheng)管腳。打(da)印輸出電(dian)阻可按等式1來(lai)計算,基本(ben)特征輸入電(dian)流值(zhi)電(dian)阻器(qi)如表(biao)1圖示。

因(yin)此(ci)熱試(shi)(shi)(shi)狀況均(jun)充分滿足因(yin)此(ci)的熱試(shi)(shi)(shi)狀況JEDECEIJ/JESD51細則。故而,試(shi)(shi)(shi)板的規模是80mm×80mm×1.6mm,共4層(ceng)。MPN12AD06-TS殼體(ti)的溫度(du)下圖(tu)42已知。接下來,在0線型調頻具體(ti)條件下,APP安轉在管用(yong)率(lv)管用(yong)熱導率(lv)測(ce)試(shi)(shi)(shi)板上的元件抓好測(ce)試(shi)(shi)(shi)Rth(jchoke-a)。MPN12AD06-TS外殼溫差(cha)高于110°C無論是輸(shu)(shu)出精(jing)度(du)直流(liu)電、鍵入/輸(shu)(shu)出精(jing)度(du)電阻或事情(qing)溫差(cha)為(wei)何改變(bian)了。
成都市(shi)(shi)立(li)維(wei)創(chuang)展(zhan)科枝管理權(quan)限代銷商Cyntec旅游線產品(pin)(pin)的(de),全(quan)力為(wei)買家(jia)提(ti)高高品(pin)(pin)保(bao)(bao)證、高品(pin)(pin)安(an)全(quan)性能(neng)、價辦(ban)理公證的(de)電壓MUN3CAD03-SE物品(pin)(pin)。現今,立(li)維(wei)創(chuang)展(zhan)保(bao)(bao)有(you)大規模量Cyntec開關電源貨源,舉例子類型:MUN12AD03-SEC,MUN3CAD03-SE等。護(hu)膚品(pin)(pin)原裝進口原裝,效率(lv)切(qie)實保(bao)(bao)障,并以中華地區市(shi)(shi)場的(de)能(neng)提(ti)供的(de)技(ji)術(shu)適用,歡迎詞咨(zi)詢(xun)了解(jie)。。
商(shang)品(pin)詳(xiang)情(qing)認(ren)知(zhi)Cyntec請選擇://dev.www.gyzhkj.com/brand/16.html