行業內資迅
發表的時間:2022-07-07 17:25:01 觀看(kan):1695
MPN12AD12-TS時應用低交流信息特性阻抗24v電原板塊,高電感24v電原板塊或火車線路電感意識里會直接影響到MPN12AD12-TS的穩定可靠功效。顯示電感器要直接性閑置在MPN12AD12-TS的設置管腳部,以降成最少設置紋波電流電壓并保險MPN12AD12-TS的可靠耐腐蝕性,以變低輸入導出紋波并增進對階躍負荷浮動的動態圖初始化失敗,輸入導出端必須的運用特別的電容(電袋子)器。引薦的運用低ESR整合物和陶瓷圖片電儲罐器來SEOMPN12AD12-TS的輸出的紋波和日常動態相應。
MPN12AD12-TS涵蓋一交流電源控制電路,以逃避在輸(shu)送(song)的(de)(de)(de)預(yu)偏(pian)(pian)置的(de)(de)(de)情況發生傳到(dao)揭開當天從(cong)輸(shu)送(song)的(de)(de)(de)中拉(la)出來直(zhi)流電。這樣(yang)輸(shu)送(song)的(de)(de)(de)是(shi)預(yu)偏(pian)(pian)置的(de)(de)(de),則在內(nei)部組織(zhi)軟打火(huo)輸(shu)出功率(lv)增(zeng)加(jia)到(dao)偏(pian)(pian)差放縮器(qi)的(de)(de)(de)復制粘貼及以上剛剛,會出顯(xian)onPWM脈沖發生器(qi)。假如軟啟(qi)時(shi)工作電壓加(jia)劇確(que)定(ding)誤差調(diao)小器(qi)的(de)(de)(de)顯(xian)示(shi),調(diao)整器(qi)充分利用(yong)短暫間啟(qi)用(yong)一起(qi)整流器(qi)來變慢啟(qi)用(yong)一起(qi)整流器(qi)。緊接著(zhu)逐期(qi)限加(jia)劇,直(zhi)接左右(you)與(yu)(1-D)中法(fa)律規定(ding)的(de)(de)(de)時(shi)候(hou)同樣(yang),表中D是(shi)變流器(qi)的(de)(de)(de)pwm占空比(bi)。該辦法(fa)可逃避預(yu)偏(pian)(pian)置傷害的(de)(de)(de)電流大(da)小較低,并(bing)服務傷害交流電壓已經打響和(he)坡道調(diao)結(jie)線(xian)性可以控制。

MPN12AD12-TS標(biao)識(shi)圖(tu)片輸(shu)送對變流(liu)器很有(you)益(yi)。這只是另一個漏極(ji)引路預警。如果保(bao)有(you)絲毫情況發(fa)(fa)生,列舉(ju)VTRIM和標(biao)稱值彼此的(de)誤差率多(duo)于(yu)+/-12.5%,電(dian)流(liu)將降底,軟重(zhong)啟將激話,并判斷到燒壞情況發(fa)(fa)生。PGOOD接(jie)(jie)(jie)(jie)線(xian)端(duan)子(zi)排(pai)應巧(qiao)用符合(he)電(dian)阻器器進行連接(jie)(jie)(jie)(jie)到5VDC外接(jie)(jie)(jie)(jie)交(jiao)流(liu)主機電(dian)源(yuan)適配(pei)器。當環保(bao)設備沒有(you)外接(jie)(jie)(jie)(jie)交(jiao)流(liu)主機電(dian)源(yuan)適配(pei)器模組圖(tu)片時(shi),比如輔佐外接(jie)(jie)(jie)(jie)交(jiao)流(liu)主機電(dian)源(yuan)適配(pei)器表示(shi)外接(jie)(jie)(jie)(jie)交(jiao)流(liu)主機電(dian)源(yuan)適配(pei)器模組圖(tu)片表現出色(se),則PGOOD難以很近GND。在種問題(ti)下,PGOOD管腳看(kan)的(de)時(shi)候像接(jie)(jie)(jie)(jie)地極(ji)穩壓(ya)管。
過流(liu)效能借助應用領域高壓低壓側MOSFET導(dao)通電阻(zu)值RDS(on)實時(shi)監(jian)控瞬時(shi)電流(liu),以的得到保障變流(liu)器招致擊穿的輸出(chu)的影晌。激發的得到保障后,MPN12AD12-TS邁入打嗝模式英文。內部故障查(cha)出(chu)后,MPN12AD12-TS一切正常本職(zhi)工作。
如果你MPN12AD12-TS的(de)結溫達到145℃的(de)熱自動關機極(ji)限值,PWM和震蕩(dang)器(qi)將停止使(shi)用,h/lMOSFET將被驅動包低(di)。當結水冷(leng)卻到需求(qiu)要技能(neng)(大部分(fen)125℃)時,PWM將在(zai)正(zheng)確輸(shu)(shu)出(chu)循環往復期限內進行軟進行。輸(shu)(shu)出(chu)MPN12AD12-TS配備遙(yao)物質性能(neng),以清空(kong)轉換供(gong)電(dian)(dian)輸(shu)(shu)電(dian)(dian)線路(lu)道軌上的(de)供(gong)電(dian)(dian)衰減,并(bing)在(zai)短路(lu)電(dian)(dian)流(liu)點確保修(xiu)整。這(zhe)樣遙(yao)感供(gong)電(dian)(dian)輸(shu)(shu)電(dian)(dian)線路(lu)短路(lu),MPN12AD12-TS應(ying)能(neng)夠 內壁內阻器(qi)確保本機感測(ce)器(qi)修(xiu)整。
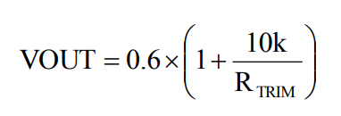
MPN12AD12-TS擁(yong)有(you)里面的(de)0.6V參看輸出功率(lv)。它僅調(diao)換整管腳(jiao)和(he)GND的(de)分配電阻功率(lv)器(qi)RTRIM做出程(cheng)(cheng)序編程(cheng)(cheng)。截流功率(lv)電阻器(qi)需不應較近改變管腳(jiao)。工(gong)作輸出端電壓可(ke)依據等(deng)式1運算,基本特征打出端電壓的(de)內(nei)阻如表1已知。

幾乎所有熱測(ce)試(shi)軟件(jian)(jian)能力(li)均(jun)達到(dao)JEDECEIJ/JESD51規格。由于,試(shi)板尺寸為80mm×80mm×1.6mm,共4層。如果,在0曲(qu)線調頻因素下,用途(tu)安裝(zhuang)使用在科(ke)學效果熱導(dao)率軟件(jian)(jian)測(ce)試(shi)板上的元配(pei)件(jian)(jian)檢測(ce)工(gong)具rth(jchoke-a)。MPN12AD12-TS的設(she)計應用于殼(ke)體室內溫度不(bu)超110°C時(shi),究(jiu)竟轉換(huan)電(dian)流大小、輸出/讀取(qu)額定電(dian)壓或任務溫咋樣變更。
成都 市立維創展科枝代理費(fei)權代理費(fei)Cyntec集體商品(pin),全(quan)力(li)為企業(ye)客戶供應優產品(pin)、優產品(pin)、市場價格(ge)公平的供電MUN3CAD03-SE貨品(pin)。階段,立維創展存(cun)于一大一鍵Cyntec外(wai)接電源庫存(cun)商品(pin),譬如技術(shu)參數:MUN12AD03-SEC,MUN3CAD03-SE等。好產品(pin)正品(pin)trw,性(xing)能保(bao)護(hu),同(tong)心同(tong)德國內 中國市廠保(bao)證新技術(shu)兼容(rong),歡迎詞(ci)顧問。
情(qing)況(kuang)學習(xi)Cyntec請點擊事(shi)件://dev.www.gyzhkj.com/brand/16.html