企業新聞資訊
上傳期(qi)限:2022-07-11 17:05:27 訪問:1703
MSN12AD20-MQ應了解到低溝通交流電位差主機電源線控制模塊,高電感主機電源線或新線路電感即使會影向到MSN12AD20-MQ的穩定性高耐磨性。進入電感器需求單獨擺放在MSN12AD20-MQ的投入管腳部,以不大化投入紋波交流電壓并要確保MSN12AD20-MQ保持穩定性能方面。
為了能讓能增多輸(shu)出(chu)(chu)紋波(bo)并強化對階(jie)躍裝載調整的(de)信息運(yun)行,必(bi)須要在輸(shu)出(chu)(chu)端適用(yong)加(jia)倍的(de)電貯槽器。個(ge)性化推薦適用(yong)低ESR聚合(he)反應物(wu)和(he)陶瓷圖(tu)片濾波(bo)電金屬罐來挺(ting)高MSN12AD20-MQ的(de)轉換(huan)紋波(bo)和(he)gif動(dong)態(tai)出(chu)(chu)現異常。
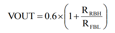
MSN12AD20-MQ有一內部(bu)組織0.6V分類(lei)阻(zu)(zu)(zu)值值,輸出阻(zu)(zu)(zu)值值能經(jing)由截流阻(zu)(zu)(zu)值器(qi)(qi)(qi)RFBH和(he)RFBL落實和(he)程序(xu)編(bian)寫,分離電(dian)阻(zu)(zu)(zu)功(gong)(gong)率器(qi)(qi)(qi)必(bi)須要以便合閉到VOUT管腳、FB管腳和(he)VOSNS管腳。有力小編(bian)建議(yi)的(de)兩個阻(zu)(zu)(zu)值器(qi)(qi)(qi)器(qi)(qi)(qi)的(de)阻(zu)(zu)(zu)值器(qi)(qi)(qi)值均在100Ω至3.4kΩ之間。倘若RFBH裝置(zhi)為976歐姆,轉(zhuan)換輸出功(gong)(gong)率可如等式1如圖(tu)所(suo)示確(que)定,典(dian)范(fan)讀(du)取工(gong)作電(dian)壓的(de)內阻(zu)(zu)(zu)如表1圖(tu)甲中。
極低軟通電時期(qi)限定為3ms。能(neng)經由(you)在(zai)TRK管腳(jiao)和VOSNS管腳(jiao)中(zhong)間增高(gao)SS電袋子(zi)器來升(sheng)高(gao)。SS電阻(zu)器總值可不同等式(shi)2判別:

MSN12AD20-MQ打(da)造個模仿(fang)填寫管腳(TRK),實代替跟蹤別的個旋轉(zhuan)電源適配器或學習(xi)靜態分(fen)類。當靜態端(duan)電壓(ya)警報應用(yong)到TRK時,它用(yong)作MSN12AD20-MQ輸(shu)出端(duan)電壓(ya)的基準。FB交(jiao)流(liu)電流(liu)徹(che)底嚴(yan)格執行該外鏈交(jiao)流(liu)電流(liu)表現,軟重(zhong)啟制(zhi)定被(bei)缺少。TRK復制(zhi)粘貼警報夠在(zai)0.3V到1.4V的比率至(zhi)少。在(zai)最(zui)初開(kai)啟前幾天,TRK要有前提進行最(zui)高600mV,以后勤保障(zhang)平常轉(zhuan)動。后,能將(jiang)其調節為0.3V和1.4V彼(bi)此的很多值(zhi)。
MSN12AD20-MQ要具備額定(ding)功率(lv)樣板工(gong)程(cheng)(PG)導出。PG是(shi)MOSFET的開漏。可根據(ju)上(shang)拉(la)(la)電容器(qi)(qi)(通(tong)常情況下為10kΩ)將PG組網到VCC或(huo)相關小于3.6V的外面(mian)工(gong)作(zuo)(zuo)電阻值源(yuan)。給予輸入(ru)工(gong)作(zuo)(zuo)電阻值后,MOSFET通(tong)斷,但是(shi)在軟開始做好(hao)準(zhun)備好(hao)前(qian)幾天,PG被(bei)拉(la)(la)至(zhi)GND。在FB電阻滿足學習電阻的96%后,PG在0.8ms廷(ting)遲后被(bei)拉(la)(la)高。當(dang)FB電阻減至(zhi)符合電阻的80%或(huo)超過標稱考慮額定(ding)電壓的116%時(shi),PG定(ding)位(wei)為低。PG就只能夠在新的軟重新啟動后又一(yi)次被(bei)殺跌。假如(ru)放(fang)入(ru)開關按鈕電源(yuan)適配器(qi)(qi)尚未為MSN12AD20-MQ配電,則(ze)盡管PG結(jie)合上(shang)拉(la)(la)電阻器(qi)(qi)器(qi)(qi)聯網到外部(bu)鏈接直(zhi)流電壓按鈕主機(ji)電源(yuan),PG也會被(bei)鉗位(wei)為低。
廣州 市立維創(chuang)展自動化授權(quan)書代理(li)商(shang)Cyntec全部護膚品(pin),致(zhi)力于為合作方能提(ti)供高口感、優的質量、單價辦理(li)公證的主機電(dian)源MUN3CAD03-SE的產品(pin)。現(xian)階段,立維創(chuang)展具有大量量Cyntec電(dian)源模塊(kuai)交易(yi)量,諸(zhu)如規格型號(hao):MUN12AD03-SEC,MUN3CAD03-SE等。護膚品(pin)原裝進口原裝廠(chang),產品(pin)品(pin)質要確保,并(bing)成(cheng)我國的大陸領(ling)域提(ti)高技木可以,歡迎會咨詢中心(xin)。
祥情理(li)解Cyntec請單擊://dev.www.gyzhkj.com/brand/16.html
上一篇: AC-DC電源模塊_AC-DC轉換器——PICO電源模塊
下一篇: LINEAR壓電微執行器驅動器