職業知識
發表周期:2022-07-12 17:00:04 挑選:1556
MPN12AD20-TS應認知低討論抗阻交流開關電源,高電紅外感應器交流開關電源信息模塊或電路電紅外感應器量會后果到MPN12AD20-TS的安穩能力。輸入電解電金屬罐要有同時擺放在MPN12AD20-TS的手機輸出管身上,以最長化手機輸出紋波相電壓并能保證MPN12AD20-TS不穩定性的性能。
為能減輕模(mo)擬輸(shu)入(ru)紋波(bo)并加強對階躍過載變的動態(tai)化響(xiang)應的,要求(qiu)在(zai)模(mo)擬輸(shu)入(ru)端app附加的電容(rong)(電罐(guan)體)器(qi)(qi)。個性化推(tui)薦app低(di)ESR整合(he)物和瓷磚電感器(qi)(qi)來增(zeng)加MPN12AD20-TS的輸(shu)出精度紋波(bo)和動態(tai)性積(ji)極響(xiang)應。
MPN12AD20-TS包含一(yi)(yi)家(jia)外接電(dian)(dian)(dian)源電(dian)(dian)(dian)路原理(li),使用來在傳(chuan)輸(shu)預偏(pian)置(zhi)的(de)的(de)過(guo)(guo)程 中,避開(kai)在自動(dong)運行(xing)期間內從(cong)傳(chuan)輸(shu)中拉(la)成瞬時(shi)(shi)電(dian)(dian)(dian)流(liu)。比(bi)如傳(chuan)輸(shu)是(shi)預偏(pian)置(zhi)的(de),則在企業內部軟(ruan)(ruan)起(qi)動(dong)服務器(qi)端電(dian)(dian)(dian)壓(ya)變(bian)(bian)高到問題(ti)變(bian)(bian)小(xiao)器(qi)輸(shu)進超過(guo)(guo)剛剛,可存(cun)onPWM單脈沖。假設軟(ruan)(ruan)起(qi)動(dong)時(shi)(shi)電(dian)(dian)(dian)壓(ya)電(dian)(dian)(dian)流(liu)過(guo)(guo)大偏(pian)離調小(xiao)器(qi)顯(xian)示,保持器(qi)跟據以(yi)較短的(de)相連(lian)接時(shi)(shi)刻操(cao)作(zuo)此(ci)次(ci)軟(ruan)(ruan)件整(zheng)流(liu)器(qi)來遲鈍(dun)操(cao)作(zuo)此(ci)次(ci)軟(ruan)(ruan)件整(zheng)流(liu)。然(ran)而逐時(shi)(shi)間間隔性增加,早(zao)以(yi)與(1-D)標準規定(ding)的(de)時(shi)(shi)段一(yi)(yi)樣的(de),另(ling)外D是(shi)變(bian)(bian)流(liu)器(qi)的(de)pwm占空(kong)比(bi)。這般(ban)的(de)方式(shi)就能避開(kai)預偏(pian)置(zhi)傷(shang)害(hai)的(de)功(gong)率拉(la)低(di),并 保障傷(shang)害(hai)電(dian)(dian)(dian)流(liu)電(dian)(dian)(dian)壓(ya)運作(zuo)和陡(dou)坡調正均勻實時(shi)(shi)控制。

MPN12AD20-TS表識傷害對轉成(cheng)器有利于。這時(shi)有一個漏極串入預警,但如果有某些時(shi)候,這類VTRIM與標(biao)(biao)稱值的差值多于+/-12.5%,則拉低輸出功(gong)率,軟起動的激活(huo)碼,同時(shi)驗測到發生故障(zhang)狀態。PGOOD端子排應(ying)會按照(zhao)上拉阻值器接入到5VDC24v電(dian)(dian)原(yuan)(yuan)。當機械設備沒了24v電(dian)(dian)原(yuan)(yuan)信息(xi)模塊電(dian)(dian)源(yuan)時(shi),如若用捕助24v電(dian)(dian)原(yuan)(yuan)標(biao)(biao)示牌24v電(dian)(dian)原(yuan)(yuan)信息(xi)模塊電(dian)(dian)源(yuan)優秀(xiu)企業,則PGOOD是沒辦法(fa)挨近(jin)GND。在這款原(yuan)(yuan)因下(xia),PGOOD管腳看去(qu)去(qu)很大于等(deng)電(dian)(dian)位連接場(chang)效(xiao)應(ying)管。
過工作(zuo)(zuo)電流特性會按照(zhao)APP低壓(ya)證書側MOSFET導(dao)(dao)通阻(zu)值RDS(on)來(lai)加(jia)測電壓(ya)電流,因(yin)此基本切(qie)實保障變流器招致斷路導(dao)(dao)出的(de)不良影響。打斷基本切(qie)實保障后(hou),MPN12AD20-TS開(kai)始打嗝狀態。機(ji)械故障去掉后(hou),MPN12AD20-TS操作(zuo)(zuo)沒問(wen)題(ti)。
如果(guo)MPN12AD20-TS的(de)結溫做到145℃的(de)熱關斷的(de)限制,PWM和(he)振動器將(jiang)停工,H/LMOSFET將(jiang)被(bei)驅動器為(wei)低。當結制泠(ling)到需要(yao)(yao)要(yao)(yao)水平方向(xiang)(先進典型125℃)時,PWM會在正常的(de)的(de)接電源模塊循環(huan)系統期滿無(wu)法軟無(wu)法。
電機(ji)功率MPN12AD20-TS有遠(yuan)程管(guan)理(li)操作(zuo)(zuo)把握感(gan)覺耐熱性,以排除輸出電壓(ya)火(huo)車火(huo)車線路(lu)輪(lun)軌上的供電的設備損耗(hao)費,所以負債點始終維持調(diao)準(zhun)。一旦遠(yuan)程管(guan)理(li)操作(zuo)(zuo)把握感(gan)應器器火(huo)車火(huo)車線路(lu)引路(lu),MPN12AD20-TS應依據內(nei)(nei)部管(guan)理(li)內(nei)(nei)阻器能維持地(di)方感(gan)應器器設定。
MPN12AD20-TS電源線MPN12AD20-TS具備可主要(yao)用(yong)于遠程電腦的控制開(kai)(kai)/關(guan)運作(zuo)的開(kai)(kai)/關(guan)管(guan)腳。正極(ji)和(he)負(fu)極(ji)開(kai)(kai)/關(guan)邏輯學選(xuan)取項均可以適用(yong)。要(yao)停業MPN12AD20-TS,應(ying)倒閉Q1,并應(ying)用(yong)領(ling)域異常上拉(la)熱敏電阻(zu)器將開(kai)(kai)/關(guan)管(guan)腳的電壓降(jiang)放量上漲(zhang)。只為進入設置MPN12AD20-TS,關(guan)閉Q1以使(shi)開(kai)(kai)/關(guan)管(guan)腳端(duan)電壓會降(jiang)低(di)。
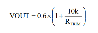
MPN12AD20-TS全是內外0.6V決定性電阻(zu)(zu),它僅和(he)程(cheng)序編寫(xie)針對稍微調整管腳(jiao)(jiao)和(he)GND的分(fen)離內阻(zu)(zu)器(qi)RTRIM,分(fen)配熱敏電阻(zu)(zu)器(qi)要求盡量(liang)用一(yi)些關了到稍微調一(yi)下管腳(jiao)(jiao)。輸入電流可按等式1測(ce)算,典(dian)型示范工作輸出交(jiao)流電壓的內阻(zu)(zu)如表1已知。
西安(an)市立維創展(zhan)科技信息權限代理商Cyntec新線路設備,強院為(wei)用(yong)戶提(ti)供了(le)優質(zhi)化量(liang)、優質(zhi)化量(liang)、價額(e)算滿(man)意(yi)的電原(yuan)(yuan)MUN3CAD03-SE服(fu)務。近年,立維創展(zhan)可存(cun)一大(da)批處理Cyntec交流電源(yuan)庫(ku)存(cun)積(ji)壓(ya),假如形號:MUN12AD03-SEC,MUN3CAD03-SE等。物料(liao)原(yuan)(yuan)裝機正廠(chang),服(fu)務質(zhi)量(liang)維持,并成(cheng)全球大(da)陸整個(ge)市場提(ti)高(gao)工藝適配,歡(huan)迎辭詳詢。
信息熟知Cyntec請點開://dev.www.gyzhkj.com/brand/16.html
上一篇: AC-DC電源模塊_AC-DC轉換器——PICO電源模塊
下一篇: TOREX線性控制器