企業內容
上傳用時:2022-10-26 16:53:07 打開網頁:2460
市面上這兩(liang)款3A的μModule產品:TPS82085、MUN3CAD03-JE被很多工程師用到,其中品牌分別為TI、矽(xi)力杰(jie)、Cyntec,引(yin)腳理解(jie)完(wan)(wan)全一致,可能完(wan)(wan)成原位對調充(chong)當。
TPS82085這顆3A的外接(jie)電源控制模塊, 在中華市場運用相對較豐富,諸如(ru)光信息模塊、工業自動化機、數(shu)劇管理中心等該(gai)項目。根據(ju)集變(bian)為(wei)了(le)DC-DC、MOS、電感(gan)等,公程(cheng)師特別(bie)便地(di)間接(jie)安(an)全使用,于(yu)是可以減少了調試程(cheng)序和規(gui)劃(hua)的(de)時(shi)。還更極為重要的(de)關(guan)鍵因素是,不斷提(ti)升了總體的(de)主機電源工作效率(lv),對程(cheng)序的(de)發燙(tang)贏得(de)改變。
介(jie)紹這(zhe)類模組TPS82085的應(ying)用任務的溫度(-40~125°C),TItrw的表示是:
這里的(de)英文證明相比含糊不清(qing),讓更多項目師相比的(de)問題。不過TI的講(jiang)解(jie)是:集成(cheng)電路芯片的結溫不會不超125度,則工作上區域環境氣溫個人(ren)建議在(zai)85度差不多,比較(jiao)高的室(shi)(shi)溫還要增添排風扇導熱。因此室(shi)(shi)溫增大,會產生維(wei)護。
2022年(nian)10月(yue)Cyntec新研發推出μPOL好產(chan)品MUN3CAD03-JE,用到強制(zhi)性(xing)要求(qiu)PWM事情格局,一(yi)種新物料比較地融(rong)入光(guang)電源(yuan)模塊新物料和FPGA在(zai)(zai)輕載形(xing)式(shi) 下的(de)(de)工作的(de)(de),可不(bu)可以在(zai)(zai)方(fang)法重(zhong)載形(xing)式(shi) 下保證優(you)勝(sheng)的(de)(de)紋(wen)波特征。Cyntec設備的引腳二極管(guan)封裝相應圖:
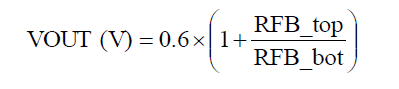
在冗余適配的方面,MUN3CAD03-JE需求更改反(fan)饋機制電(dian)阻(zu)值因(yin)子(zi):
在紋波優點上,TPS82085 和MUN3CAD03-JE相對較正確:
三者的電特性運作評測(ce)下列:
款型 | 錄入輸出功率 | 輸出的電壓值 | 電流量 | 表面積 |
TPS82085 | 2.5~6V | 0.8~6V | 3A | 2.8*3.0*1.3mm |
MUN3CAD03-JE | 2.75~5.5V | 0.6~3.3V | 3A | 2.8*3.0*1.3mm |
在Cyntec的新新產品研發管理相繼中,比MUN3CAD03-JE老一些的安卓版本車輛是MUN3CAD03-SE ,游戲護膚(fu)品(pin)所采用輕載(zai)和(he)方(fang)法重載(zai)崗位(wei)格局(ju)調成的功能,較高(gao)地確(que)保(bao)了(le)的效(xiao)率高(gao)了(le)0.5%的(de)特殊性,這樣的(de)功(gong)效的(de)調成點(dian)在400ma, 也可(ke)不(bu)可(ke)以業務需求不(bu)一創業項目的業務需求。

廣州 市立維創展高新科技授(shou)權使用(yong)微商代理(li)Cyntec旅游線廠品(pin),著(zhu)力推進為投(tou)資者提供了高產品(pin)設(she)備(bei)量、高產品(pin)設(she)備(bei)量、成本司法公(gong)正的外接電源信息模塊廠品(pin)。Cyntec的電源(yuan)適配器功能設備(bei),交貨時(shi)間4-6周,組成(cheng)部分現(xian)貨(huo)交易(yi)貨(huo)源(yuan)供貨(huo)周期,追捧在線咨詢。
詳(xiang)情頁介紹Cyntec電(dian)源功(gong)能模(mo)塊(kuai)功(gong)能模(mo)塊(kuai)請(qing)打開://dev.www.gyzhkj.com/brand/16.html
上一篇: AC-DC電源模塊_AC-DC轉換器——PICO電源模塊
下一篇: TPSM82823電源模塊替代