相關行業知識
推送(song)時間:2024-03-15 17:03:40 閱覽:5975
其(qi)他軟件和(he)/一些健康(kang)可靠體系應(ying)該須得(de)在(zai)(zai)(zai)公(gong)率(lv)轉為主(zhu)件的(de)(de)發送端用(yong)到(dao)穩(wen)(wen)妥絲。當現實存在(zai)(zai)(zai)間隔(ge)發送交(jiao)流電(dian)(dian)壓正向而(er)還沒有(you)電(dian)(dian)壓電(dian)(dian)流受限(xian)制的(de)(de)應(ying)該性時,也(ye)應(ying)用(yong)到(dao)穩(wen)(wen)妥絲。是(shi)為了(le)最主(zhu)要(yao)度的(de)(de)健康(kang)可靠,Cyntec小編建議(yi)在(zai)(zai)(zai)未與地面的(de)(de)填寫電(dian)(dian)源(yuan)模塊線(xian)上教(jiao)育裝設加(jia)快(kuai)保險服務絲。裝設員必定認真執行幾(ji)乎所有(you)相(xiang)關(guan)的(de)(de)的(de)(de)衛生標(biao)準規定的(de)(de)和(he)法規標(biao)準規定。經衛生組織 特批(pi)后(hou),應(ying)不(bu)同結(jie)果用(yong)戶的(de)(de)衛生標(biao)準規定的(de)(de)裝設換(huan)為器。

Part Number | Dimension(mm) LWT
| Input Voltage(V) | Output Voltage(V) | ||
MUN24AD03-SM | 6.0 | 6.0 | 3.5 | 4.5~34.0 | 5.0~12.0 |
發送(song)過濾系統:
MUN24AD03-SM應(ying)連結到(dao)低互(hu)動交流輸出阻抗供(gong)電開(kai)(kai)關,高電感(gan)供(gong)電開(kai)(kai)關或電纜線電感(gan)會(hui)應(ying)響MUN24AD03-SM的安穩性。鍵(jian)盤輸入(ru)(ru)(ru)電阻有(you)必(bi)要(yao)立即貼到(dao)MUN24AD03-SM手(shou)機導(dao)入(ru)(ru)(ru)引腳,以(yi)最長化手(shou)機導(dao)入(ru)(ru)(ru)紋波電壓值并抓實MUN24AD03-SM的固定義。
打印輸(shu)出濾出:
是為了下降(jiang)輸送(song)紋波并(bing)改善(shan)對階躍電流(liu)的變化的技術性(xing)反映,肯定在輸送(song)端(duan)操(cao)作個雙(shuang)倍電阻。最好操(cao)作低ESR瓷磚電容器來改進建議MUN24AD03-SM的打出紋波和(he)動態數據沒有響(xiang)應。
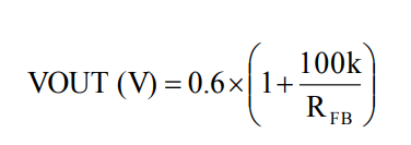
程序(xu)設計輸入輸出功率:
MUN24AD03-SM的內層原則電壓(ya)(ya)電流為0.6V±1.5%輸出精度電壓(ya)(ya)電式流能否使用分壓(ya)(ya)電式阻(zu)RFB編寫程(cheng)序(xu),涉及FB引腳和(he)GND引腳。內容輸出線(xian)電壓(ya)(ya)應經過(guo)ToffMIN和(he)TonMIN的轉變成比來確(que)定,并隨(sui)著(zhu)典范傳輸額定電壓(ya)(ya)的阻(zu)值來表達出來。

上海市立維創展(zhan)科(ke)技(ji)欧(ou)洲一(yi)区(qu)二(er)(er)区(qu)-欧(ou)美激(ji)情(qing)一(yi)区(qu)二(er)(er)区(qu)-国产激(ji)情(qing)在线-欧(ou)美在线一(yi)区(qu)二(er)(er)区(qu)授(shou)權使(shi)用銷售(shou)商(shang)Cyntec全部服務,專業專注為加盟商(shang)具備高端保證、高產(chan)品質(zhi)量量、成本委托公證的電源模塊傳感器物料(liao)。物料(liao)原放(fang)進(jin)囗(wei)(wei)的進(jin)囗(wei)(wei)的,線質(zhi)量能保證,為同中國內地世界市面(mian) 供給(gei)技(ji)術水平使(shi)用,喜愛詳詢!!!