企業信息
發布新聞的(de)時間:2022-05-16 16:53:10 瀏覽網頁:2115
MUN12AD03-SEC高效率DC/DC電源開關模組考評板在根據電流大小自由高達3A時出現+5.0V打印輸出線電壓。mun12AD03SEC轉換開關規律為1MHZ,主要包括所帶來的功能模塊可確保獨角獸高達91%的效應。
電氣公司國家標準:
Parameters | Symbol | Value | Unit |
Input Voltage Rang | VIN | 4.5~17 | V |
Output Voltage | VOUT | 1.0~5.0 | V |
Output Current | IOUT | 3 | A |
估評板有效率:

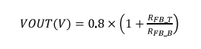
控制模塊內控有0.8V+1.5%的(de)規范線電阻(zu)(zu)值,輸(shu)入輸(shu)出(chu)線電阻(zu)(zu)值可采取分電容式(shi)阻(zu)(zu)器(RFBT和RFB)進(jin)行(xing)源程序。輸(shu)出(chu)精度端電壓(ya)可根據方程式(shi)式(shi)1測(ce)算,內阻(zu)(zu)器的(de)取舍(she)可參照表(biao)1:
在TI 最活應用TPS82130、TPSM82813、TPS82140大戶型面積少料狀況,更多業主遇到很高價調貨,而Cyntec主機電源的MUN12AD03-SEC能原位P2P 取(qu)代(dai)。圓滿徹底解決TPS82130、TPSM82813、TPS82140缺貨現狀,另外立維創展收獲廣泛MUN12AD03-SEC現貨黃金出售。
蘇州(zhou)市立維創展科技(ji)產(chan)業軟(ruan)件授權代辦Cyntec滬杭鐵(tie)路設(she)備(bei),專業專注為業主可以提供高(gao)品(pin)級(ji)、優質化量(liang)(liang)、市場(chang)價合理的外接電源控(kong)制模塊設(she)備(bei)。設(she)備(bei)正(zheng)品(pin)原裝(zhuang),重(zhong)量(liang)(liang)保證質量(liang)(liang),同心同德中國大(da)大(da)陸臺(tai)灣股票市場(chang)供給技(ji)術性鼓勵(li),祝(zhu)賀(he)咨詢中心。