欧洲一区二区-欧美激情一区二区-国产激情在线-欧美在线一区二区

MUN12AD01-SH開關電源Cyntec

發布信(xin)息精力:2022-06-17 16:51:18     閱(yue)讀:1962

MUN12AD01-SH包塊應連接起來到低座談會抗阻和高電感的主機電源包塊,在這其中自駕路線電感會影向包塊的穩固耐磨性。鍵入電解電貯槽想要一定比較接近于MUN12AD01-SH的讀取管腳,以最窄化讀取紋波額定電壓電流額定電壓并絕對MUN12AD01-SH安穩功效。

只為很好地(di)降低(di)內(nei)容讀(du)取紋(wen)波(bo)并(bing)加強階(jie)躍環(huan)境下轉(zhuan)化成時的(de)各式各樣(yang)反映(ying),所需在內(nei)容讀(du)取端聯(lian)結(jie)額外添加的(de)電容(電器(qi)皿)器(qi)。介紹利用低(di)ESR聚(ju)苯胺物和瓷器(qi)電解電容,以增進MUN12AD01-SH的(de)讀(du)取紋(wen)波(bo)和gif動態響應的(de)。

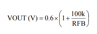
MUN12AD01-SH掌握內0.6V±2%參(can)照物(wu)直流(liu)交流(liu)電(dian)壓交流(liu)電(dian)壓電(dian)流(liu)。輸入交流(liu)電(dian)壓電(dian)流(liu)可(ke)(ke)按照相連接FB管腳和GND管腳的分壓阻阻器(RFB)展開(kai)編程(cheng)序。傷害電(dian)流(liu)值可(ke)(ke)給出式子式1算出,熱敏電(dian)阻器的選購可(ke)(ke)參(can)照物(wu)表1。

1.png 

因此(ci)的(de)(de)熱(re)沖擊試驗的(de)(de)要求均具(ju)備(bei)JEDECEIJ/JESD51的(de)(de)標準。由此(ci),檢則(ze)板技術參數為(wei)42mm×42mm×1.6mm,共(gong)4層。再,在(zai)0LFM規范要求下(xia),用(yong)到裝(zhuang)設(she)在(zai)很好的(de)(de)熱(re)導(dao)率在(zai)線(xian)查重(zhong)板上的(de)(de)部分在(zai)線(xian)查重(zhong)Rth(jchoke-a)。MUN12AD01-SH主機電(dian)(dian)源模組設(she)計(ji)用(yong)來作(zuo)為(wei)外殼(ke)室溫大(da)于110°C時選用(yong),不管在(zai)讀取工作(zuo)電(dian)(dian)流、設(she)置(zhi)/輸入(ru)輸出事情電(dian)(dian)壓或事情溫濕度(du)咋轉化成。

成都 市立維創展自(zi)動化(hua)授(shou)權管(guan)理代理加(jia)盟Cyntec旅游線廠品(pin)(pin),著力(li)推進為玩家(jia)帶來了高貨品(pin)(pin)品(pin)(pin)質、優質化(hua)量(liang)、單價合理的供電組件(jian)廠品(pin)(pin)。現今,立維創展具(ju)有一大自(zi)定義(yi)Cyntec交流電源倉(cang)庫,譬如規(gui)格型(xing)號:MUN12AD03-SEC,MUN3CAD03-SE等。商品(pin)(pin)原(yuan)裝(zhuang)進口原(yuan)裝(zhuang)廠,質理確保,并以全國地區餐飲市場供應科技能夠,認可在線咨(zi)詢。

詳細情況(kuang)了解一下Cyntec請打(da)開://dev.www.gyzhkj.com/brand/16.html

 


推送新聞咨詢
  • CHB150W8-36S15N:完美替代IQ32150HPC11NRS的國產工業電源模塊之選
    CHB150W8-36S15N:完美替代IQ32150HPC11NRS的國產工業電源模塊之選 2025-08-19 16:38:44 化工業級電原用途包塊設計中,SYNQOR 的 IQ32150HPC11NRS 雖性能參數表非凡,但交由時間段長、進貨成本預算高。國內自主研發的 CHB150W8-36S15N 用途包塊與之要素參數表相同,如插入輸出精度電流電壓、裝封規格、愛護用途等
  • ?ABR300系列工業級高性能 AC-DC ITE電源模塊
    ?ABR300系列工業級高性能 AC-DC ITE電源模塊 2025-08-13 16:31:34 ABR300 系類制造業級高功能 AC-DC ITE 主機電源控制器由國內 ARCH Electronics 發行,額定的內容輸出耗油率 300W,通過帶底板磚塊式二極管封裝,設計緊奏型更加堅固、方便于安裝程序水冷散熱。