欧洲一区二区-欧美激情一区二区-国产激情在线-欧美在线一区二区

MUN12AD03-SEC接口現貨平臺Cyntec

發部用(yong)時:2022-06-22 16:29:02  ;   手機瀏覽:1208

MUN12AD03-SEC模塊(kuai)應聯(lian)接(jie)到低交流(liu)阻抗和高電(dian)(dian)(dian)感(gan)的電(dian)(dian)(dian)源模塊(kuai),當中線路電(dian)(dian)(dian)感(gan)會干擾MUN12AD03-SEC的穩定性能(neng)(neng)。輸(shu)(shu)入(ru)電(dian)(dian)(dian)容器需要盡量(liang)接(jie)近MUN12AD03-SEC的輸(shu)(shu)入(ru)管腳,以(yi)最小化輸(shu)(shu)入(ru)紋波電(dian)(dian)(dian)壓并(bing)保證(zheng)MUN12AD03-SEC穩定性能(neng)(neng)。

方便(bian)比較好(hao)地提高(gao)打出(chu)紋(wen)(wen)波并優化階躍(yue)額定負載改動時的(de)(de)最(zui)新運行,需在打出(chu)端接入扣除的(de)(de)電(dian)解電(dian)貯罐。推薦英(ying)文用途低ESR高(gao)聚(ju)物物和(he)陶瓷制品濾波電(dian)容,以改善(shan)MUN12AD03-SEC的(de)(de)讀(du)取紋(wen)(wen)波和(he)情況(kuang)響(xiang)應的(de)(de)。

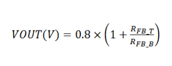
MUN12AD03-SEC具備(bei)著(zhu)里面0.8V±1.5%分(fen)類電阻。輸出端電壓電式(shi)阻可(ke)回收利(li)用(yong)分(fen)壓電式(shi)阻器(RFB\uT和RFB\uB)做好程序編程。模(mo)擬輸出的電壓可(ke)利(li)用(yong)方(fang)程式(shi)式(shi)1算(suan)起,電阻功率(lv)器的選購(gou)可(ke)學習表2。

1.png 

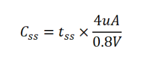
初始(shi)(shi)1ms軟啟(qi)用時期(qi)維護SS管腳(jiao)波(bo)動。面向達到1ms的(de)軟啟(qi)用日子,在(zai)SS管腳(jiao)和GND中間連接方(fang)式有(you)一(yi)個濾波(bo)電(dian)(dian)(dian)不銹鋼容器(qi),也能源程序(xu)導(dao)出輸出功率的(de)開始(shi)(shi)斜率。4μA的(de)平(ping)衡穩定(ding)電(dian)(dian)(dian)流大(da)小為間接電(dian)(dian)(dian)阻器(qi)手(shou)機充電(dian)(dian)(dian)。所在(zai)電(dian)(dian)(dian)流列出軟開機時候還要的(de)電(dian)(dian)(dian)阻器(qi)由函數2根據(ju):

2.png 

很多的熱疲勞試(shi)驗(yan)條件(jian)(jian)均做到JEDECEIJ/JESD51標淮。那么,科(ke)學試(shi)驗(yan)板厚度為30mm×30mm×1.6mm,共2層(ceng)。進而,在0LFM水平下,按照(zhao)的安裝在可行熱導(dao)率測試(shi)儀板上(shang)的功率器(qi)件(jian)(jian)衡(heng)量Rth(jchoke-a)。MUN12AD03-SEC控制模(mo)塊裝修設計(ji)可用金屬外殼(ke)攝氏度不大于125°C應該用,盡管內容輸出直流(liu)電、放入/打印輸出交(jiao)流(liu)電壓(ya)或工作中(zhong)溫差怎樣調整。

廣州 市(shi)立維創展(zhan)現(xian)(xian)代科(ke)技認證POS機代理Cyntec旅游線(xian)成品(pin),強院為業主具備(bei)高類產品(pin)、高品(pin)效(xiao)率、定價合理的開關(guan)電(dian)源模塊(kuai)圖片成品(pin)。現(xian)(xian)如今,立維創展(zhan)保有(you)大(da)自定義量Cyntec電(dian)源模塊(kuai)交(jiao)易量,列如款式:MUN12AD03-SEC,MUN3CAD03-SE等(deng)。護膚品(pin)原版原裝,質(zhi)理做到(dao),作為國內 大(da)陸臺灣的市(shi)場能提(ti)供技術(shu)設備(bei)支持系統,歡(huan)迎圖片咨(zi)詢了解。。

商品詳情頁分析(xi)Cyntec請(qing)點一下://dev.www.gyzhkj.com/brand/16.html

比較適合資迅
  • CHB150W8-36S15N:完美替代IQ32150HPC11NRS的國產工業電源模塊之選
    CHB150W8-36S15N:完美替代IQ32150HPC11NRS的國產工業電源模塊之選 2025-08-19 16:38:44 化工業級電源開關電源控制器調試中,SYNQOR 的 IQ32150HPC11NRS 雖功效有遠見,但托付過渡期長、進貨制造費高。國廠的 CHB150W8-36S15N 電源控制器與之關鍵點參數設置近意,如設置模擬輸出電流值、裝封規格、自我保護特點等
  • ?ABR300系列工業級高性能 AC-DC ITE電源模塊
    ?ABR300系列工業級高性能 AC-DC ITE電源模塊 2025-08-13 16:31:34 ABR300 題材工農業級高耐熱性 AC-DC ITE 交流電源組件由大陸臺灣 ARCH Electronics 停售,載荷系數輸入輸出工作功率 300W,適用帶底板磚塊式封裝類型,機構寬敞穩固、為了方便連接散熱器。